Олимпиадный тренинг

Задача . F. Пауки


Однажды мама попросила Петю разобрать игрушки и избавиться от части из них. Петя нашел целую коробку игрушечных пауков. Они очень ему дороги, и мальчик не хочет их выкидывать. Петя придумал хитрый план: он склеит всех паучков и подвесит к потолку. Также он знает, что чем ниже будет свисать эта конструкция, тем больше понравится маме, и она не станет выкидывать его самые любимые игрушки. Помогите Пете осуществить его план.

Паук состоит из k бусинок, связанных k - 1 ниточкой. Каждая ниточка соединяет две различные бусинки, при этом любая пара бусинок, составляющих паука, либо непосредственно связана ниточкой, либо связана некоторой цепочкой из ниточек и бусинок.

Склеивать пауков Петя может непосредственно за бусинки. Длина каждой нитки равна 1. Размерами бусинок можно пренебречь. Поэтому можно считать, что склеивание пауков происходит путем отождествления некоторых бусинок (см. рисунок). При этом конструкция, получаемая при склеивании, также должна представлять собой паука, т.е. для нее должны выполняться указанные свойства.

После того, как Петя склеит всех пауков, он считает длину получившейся поделки. Расстояние между парой бусинок вычисляется как длина ниточек, соединяющих эти две бусинки. Длиной полученной конструкции называется наибольшее расстояние между всеми парами бусинок. Петя хочет получить конструкцию как можно большей длины.

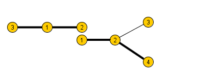
На рисунке изображено 2 паучка из второго примера. К бусинке номер 2 первого паучка мы приклеим второго паучка за бусинку с номером 1. На рисунке выделены ниточки в паучках, которые образуют последовательность ниточек максимальной длины.

Входные данные

В первой строке входного файла записано одно целое число n (1 ≤ n ≤ 100) — количество пауков. Следующие n строк содержат описания каждого паука: целое число ni (2 ≤ ni ≤ 100) — количество бусин, далее ni - 1 пара чисел, означающих номера бусин, соединенных нитками. Бусинки, составляющие каждого паука, нумеруются от 1 до ni.

Выходные данные

Выведите одно число — длину искомой конструкции.


Примеры
Входные данныеВыходные данные
1 1
3 1 2 2 3
2
2 2
3 1 2 1 3
4 1 2 2 3 2 4
4
3 2
5 1 2 2 3 3 4 3 5
7 3 4 1 2 2 4 4 6 2 7 6 5
7

time 1000 ms
memory 256 Mb
Правила оформления программ и список ошибок при автоматической проверке задач

Статистика успешных решений по компиляторам
 Кол-во
С++ Mingw-w645
Комментарий учителя