Олимпиадный тренинг

Задача . D. СоздатеЛи


Ли потратил так много времени на создание хорошей div.2 D задачи, чтобы сбалансировать недавний контест, но задача продолжает ощущаться неподходящей. Ли придумывал ее так мучительно долго, что заработал фобию div.2 D задач. И теперь он прячется в кустах...

Назовем Корневым Сухим Кустом (КСК) уровня \(n\) корневое дерево, построенное согласно правилам ниже.

Корневой Сухой Куст уровня \(1\) — это одна вершина. Для построения КСК уровня \(i\), сначала построим КСК уровня \(i-1\) и далее для каждой вершины \(u\):

  • если у \(u\) нет детей, то подвесим к ней одного сына;
  • если у \(u\) есть один сын, то подвесим к ней еще двух детей;
  • если у \(u\) есть более одного сына, то пропустим ее.
Корневые Сухие Кусты уровня \(1\), \(2\) и \(3\).

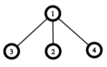
Назовем лапой корневое дерево из четырех вершин: одна корневая вершина (также называется центром) и три ребенка. Оно напоминает лапу:

Центром лапы является вершина с номером \(1\).

У Ли есть Корневой Сухой Куст уровня \(n\). Первоначально все вершины КСК зеленого цвета.

За один шаг, он может выбрать лапу в КСК и, если все вершины в ней зеленые и все вершины лапы являются детьми ее центра, покрасить вершины лапы в в желтый.

Ли хочет узнать максимальное количество желтых вершин, которое он сможет получить. Так как ответ может быть очень большим, выведите его по модулю \(10^9+7\).

Входные данные

В первой строке задано одно число \(t\) (\(1 \le t \le 10^4\)) — количество наборов входных данных.

В следующих \(t\) строках заданы сами наборы — по одному в строке.

В первой строке каждого набора задано одно целое число \(n\) (\(1 \le n \le 2 \cdot 10^6\)) — уровень КСК Ли.

Выходные данные

Для каждого набора входных данных выведите единственное целое число — максимальное количество желтых вершин, которые может получить Ли, по модулю \(10^9 + 7\).

Примечание

Несложно заметить, что ответ для КСК уровня \(1\) или \(2\) равен \(0\).

Ответ для КСК уровня \(3\) равен \(4\), так как есть только одна лапа, которую можно выбрать: \(\{1, 2, 3, 4\}\).

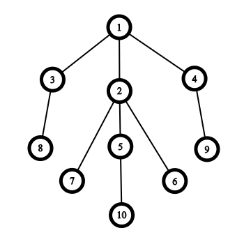
Ответ для КСК уровня \(4\) равен \(4\), так как мы можем выбрать либо одну лапу \(\{1, 3, 2, 4\}\) или одну лапу \(\{2, 7, 5, 6\}\). Других лап в КСК уровня \(4\) нет (например, мы не можем выбрать \(\{2, 1, 7, 6\}\), так как \(1\) не является ребенком вершины-центра \(2\)).

Корневой Сухой Куст уровня 4.

Примеры
Входные данныеВыходные данные
1 7
1
2
3
4
5
100
2000000
0
0
4
4
12
990998587
804665184

time 2000 ms
memory 256 Mb
Правила оформления программ и список ошибок при автоматической проверке задач

Статистика успешных решений по компиляторам
 Кол-во
С++5
Комментарий учителя