Олимпиадный тренинг

Задача . D. Boboniu и Jianghu


После того как Boboniu закончил строительство своего Jianghu, он занимался кунг-фу на этих горах каждый день.

Boboniu разработал карту для своих \(n\) гор. Он использовал \(n-1\) дорогу чтобы соединить все \(n\) гор. Все горы связны с помощью дорог.

Для \(i\)-й горы, Boboniu оценил скучность кунг-фу на ней как \(t_i\). Он также оценил высоту каждой горы как \(h_i\).

Путь это такая последовательность гор \(M\), что для всех \(i\) (\(1 \le i < |M|\)), существует дорога между \(M_i\) и \(M_{i+1}\). Boboniu считает путь испытанием если для всех \(i\) (\(1\le i<|M|\)), \(h_{M_i}\le h_{M_{i+1}}\).

Boboniu хочет разделить все \(n-1\) дорог на несколько испытаний. Обратите внимание, что каждая дорога должна встречаться ровно в одном испытании, но гора может встречаться в нескольких испытаниях.

Boboniu хочет минимизировать суммарную скучность всех испытаний. Скучность испытания \(M\) это сумма скучностей всех гор в ней, т.е. \(\sum_{i=1}^{|M|}t_{M_i}\).

Он попросил вас найти минимальную возможную суммарную скучность всех испытаний. В награду за вашу работу, вы станете охранником в его Jianghu.

Входные данные

В первой строке записано одно целое число \(n\) (\(2 \le n \le 2 \cdot 10^5\)), обозначающее число гор.

Во второй строке записано \(n\) целых чисел \(t_1, t_2, \ldots, t_n\) (\(1 \le t_i \le 10^6\)), обозначающих скучность исполнения кунг-фу для Boboniu на каждой из гор.

В третьей строке записаны \(n\) целых чисел \(h_1, h_2, \ldots, h_n\) (\(1 \le h_i \le 10^6\)), описывающих высоты всех гор.

Каждая из следующих \(n - 1\) строк содержит два целых числа \(u_i\), \(v_i\) (\(1 \le u_i, v_i \le n, u_i \neq v_i\)), обозначающих концы дороги. Гарантируется, что все горы связны по дорогам.

Выходные данные

Выведите одно целое число: минимальную возможную суммарную скучность всех испытаний.

Примечание

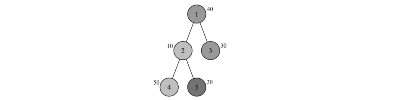
В первом примере:

На картинке, чем светлее точка, тем выше гора, которую она представляет. Одно из лучших разделений это:

  • Испытание \(1\): \(3 \to 1 \to 2\)
  • Испытание \(2\): \(5 \to 2 \to 4\)

Суммарно скучность для Boboniu равна \((30 + 40 + 10) + (20 + 10 + 50) = 160\). Можно показать, что это является минимальной возможной скучностью.


Примеры
Входные данныеВыходные данные
1 5
40 10 30 50 20
2 3 2 3 1
1 2
1 3
2 4
2 5
160
2 5
1000000 1 1 1 1
1000000 1 1 1 1
1 2
1 3
1 4
1 5
4000004
3 10
510916 760492 684704 32545 484888 933975 116895 77095 127679 989957
402815 705067 705067 705067 623759 103335 749243 138306 138306 844737
1 2
3 2
4 3
1 5
6 4
6 7
8 7
8 9
9 10
6390572

time 1000 ms
memory 256 Mb
Правила оформления программ и список ошибок при автоматической проверке задач

Статистика успешных решений по компиляторам
 Кол-во
С++5
Комментарий учителя