Олимпиадный тренинг

Задача . C. Ксор дерево


Для заданной последовательности попарно различных неотрицательных целых чисел \((b_1, b_2, \dots, b_k)\) мы определяем, является ли она хорошей следующим образом:

  • Рассмотрим граф на \(k\) вершинах, на которых написаны числа от \(b_1\) до \(b_k\).
  • Для каждого \(i\) от \(1\) до \(k\) мы находим такое \(j\) (\(1 \le j \le k\), \(j\neq i\)), для которого значение \((b_i \oplus b_j)\) минимально среди всех таких \(j\), где \(\oplus\) обозначает операцию побитового исключающего ИЛИ. После этого мы проводим неориентированное ребро между вершинами с числами \(b_i\) и \(b_j\).
  • Последовательность называется хорошей, если и только если получившийся граф является деревом (то есть он связан и не имеет простых циклов).

Возможно, что для некоторых чисел \(b_i\) и \(b_j\) вы попробуете добавить ребро между ними дважды. Тем не менее вы добавите это ребро только один раз.

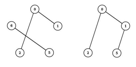
Ниже приведен пример (рисунок, соответствующий первому примеру).

Последовательность \((0, 1, 5, 2, 6)\) не хорошая, так как мы не можем достичь \(1\) из \(5\).

Однако, последовательность \((0, 1, 5, 2)\) является хорошей.

Вам дана последовательность \((a_1, a_2, \dots, a_n)\) из попарно различных неотрицательных целых чисел. Вы хотите удалить из нее некоторые элементы (возможно, ни одного), чтобы сделать оставшуюся последовательность хорошей. Какое минимально возможное количество удалений необходимо для достижения этой цели?

Можно показать, что для любой последовательности можно удалить некоторое количество элементов, оставив как минимум \(2\), так, что оставшаяся последовательность будет хорошей.

Входные данные

Первая строка содержит единственное целое число \(n\) (\(2 \le n \le 200,000\)) — длину последовательности.

Во второй строке находится \(n\) попарно различных неотрицательных целых чисел \(a_1, a_2, \ldots, a_n\) (\(0 \le a_i \le 10^9\)) — элементы последовательности.

Выходные данные

Необходимо вывести ровно одно целое число — минимально возможное количество элементов, которые нужно удалить, чтобы сделать оставшуюся последовательность хорошей.

Примечание

Обратите внимание, что числа, которые вы удаляете, не влияют на процедуру проверки, является ли хорошей оставшаяся последовательность.

Возможно, что для некоторых чисел \(b_i\) и \(b_j\) вы попробуете добавить ребро между ними дважды. Тем не менее вы добавите это ребро только один раз.


Примеры
Входные данныеВыходные данные
1 5
0 1 5 2 6
1
2 7
6 9 8 7 3 5 2
2

time 2000 ms
memory 256 Mb
Правила оформления программ и список ошибок при автоматической проверке задач

Статистика успешных решений по компиляторам
 Кол-во
С++ Mingw-w641
Комментарий учителя