Это интерактивная задача.
Маленький Эхаб любит ползать по своей квартире. В ней есть \(n\) комнат, пронумерованных от \(0\) до \(n-1\). Для каждой пары комнат \(a\) и \(b\), либо есть прямой переход из комнаты \(a\) в комнату \(b\), либо наоборот из комнаты \(b\) в комнату \(a\), но не одновременно.
Маленький Эхаб хочет пойти поиграть с маленьким Бадави. Он хочет знать, сможет ли он добраться до него. Однако, он не знает ничего про свою квартиру, кроме количества комнат. Он может задать няне два типа вопросов:
- переход между комнатами \(a\) и \(b\) направлен из \(a\) в \(b\) или в обратную сторону?
- есть ли из комнаты \(x\) переход, направленный в одну из комнат \(s_1\), \(s_2\), ..., \(s_k\)?
Он может задать не более \(9n\) вопросов первого типа, и не более \(2n\) вопросов второго типа.
После того, как он задаст какие-то вопросы, он хочет знать для каждой пары комнат \(a\) и \(b\), существует ли путь из \(a\) в \(b\) или нет. Путь из \(a\) в \(b\) это последовательность переходов, которая начинается в комнате \(a\) и заканчивается в комнате \(b\).
Выходные данные
Чтобы вывести ответ для набора входных данных, выведите строку содержащую «3», после чего \(n\) строк, каждая содержит двоичную строку длины \(n\). \(j\)-й символ в \(i\)-й строке должен равняться \(1\), если существует путь из комнаты \(i\) в комнату \(j\), и \(0\), если нет. \(i\)-й символ в \(i\)-й строке должен равняться \(1\) для всех \(i\).
После вывода ответа, интерактор ответит одним целым числом. Если это \(1\), значит вы вывели правильный ответ, и должны продолжить решать следующие наборы входных данных (или завершиться, если это был последний). Если это \(-1\), вы вывели неправильный ответ, и должны немедленно завершиться, чтобы получиться вердикт Wrong answer. Иначе, вы можете получить произвольный вердикт, потому что ваше решение будет продолжать читать из закрытого потока.
Протокол взаимодействия
Чтобы задать вопрос первого типа, используйте формат:
- \(1\) \(a\) \(b\) (\(0 \le a,b \le n-1\), \(a \neq b\)).
- интерактор ответит \(1\), если переход ведет из \(a\) в \(b\), и \(0\), если из \(b\) в \(a\).
- вы можете задать не более \(9n\) вопросов этого типа в каждом наборе входных данных.
Чтобы задать вопрос второго типа, используйте формат:
- \(2\) \(x\) \(k\) \(s_1\) \(s_2\) ... \(s_k\) (\(0 \le x,s_i \le n-1\), \(0 \le k < n\), \(x \neq s_i\), элементы \(s\) попарно различны).
- интерактор ответит \(1\), если существует переход ведущий из \(x\) в какую-то из комнат из \(s\), и \(0\) иначе.
- вы можете задать не более \(2n\) вопросов этого типа в каждом наборе входных данных.
Если интерактор ответит \(-1\) вместо корректного ответа, это означает, что вы превысили разрешенное количество вопросов, или сделали некорректный вопрос. Немедленно завершитесь после получения \(-1\), чтобы получить вердикт Wrong answer. Иначе, вы можете получить произвольный вердикт, потому что ваше решение будет продолжать читать из закрытого потока.
После вывода запроса не забудьте вывести перевод строки и сбросить буфер вывода. В противном случае вы получите вердикт Решение «зависло». Для сброса буфера используйте:
- fflush(stdout) или cout.flush() в C++;
- System.out.flush() в Java;
- flush(output) в Pascal;
- stdout.flush() в Python;
- смотрите документацию для других языков.
Взломы:
Первая строка должна содержать целое число \(t\) — количество наборов входных данных.
Первая строка каждого набора входных данных должна содержать целое число \(n\) (\(4 \le n \le 100\)) — количество комнат.
Каждая из следующих \(n\) строк должна содержать двоичную строку длины \(n\). \(j\)-й символ в \(i\)-й строке должен равняться \(1\), если есть переход из комнаты \(i\) в комнату \(j\), и \(0\) иначе. \(i\)-й символ в \(i\)-й строке должен равняться \(0\).
Примечание
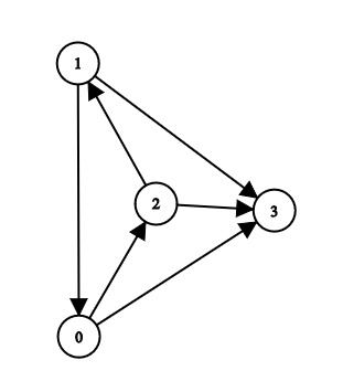
В примере:

Первый вопрос спрашивает, есть ли переходы из комнаты \(3\) в любую другую комнату.
Второй вопрос спрашивает про направление перехода между комнатами \(0\) и \(1\).
Спустя еще пару вопросов, мы узнаем, что можно добраться из любой комнаты до любой другой, кроме случая, когда мы начинаем в комнате \(3\), из которой нельзя выйти. Поэтому, мы выводим матрицу:
1111
1111
1111
0001
Интерактор отвечает \(1\), что означает, что наш ответ корректен.
| № | Входные данные | Выходные данные |
|
1
|
1
4
0
0
1
1
1
|
2 3 3 0 1 2
1 0 1
1 0 2
2 2 1 1
3
1111
1111
1111
0001
|