Олимпиадный тренинг

Задача . E. Пересадка почек


Деревом называется связный граф без циклов. В корневом дереве есть особая вершина, которая называется корнем. Родитель вершины \(v\) (отличной от корня) — вершина перед \(v\) на кратчайшем пути от корня до \(v\). Дети вершины \(v\) — все вершины, для которых \(v\) является родителем.

Вершина называется листом, если у неё нет детей. Назовем вершину почкой, если выполняются три следующих условия:

  • она не является корнем,
  • у неё есть хотя бы один ребёнок, и
  • все её дети — листья.

Вам дано корневое дерево из \(n\) вершин. Вершина \(1\) — корень. За одно действие вы можете выбрать любую почку со всеми её детьми (они являются листьями) и переподвесить её за любую другую вершину дерева. Таким действием вы удаляете ребро, соединяющее почку и родителя, и добавляете ребро между почкой и выбранной вершиной дерева. Эта выбранная вершина не может совпадать с выбранной почкой или быть одним из ее детей. Все дети почки остаются соединёнными с ней.

Какое минимальное количество листьев можно получить, если разрешается сделать любое количество вышеописанных действий (возможно, ни одного)?

Входные данные

Каждый тест состоит из нескольких наборов входных данных. В первой строке находится единственное целое число \(t\) (\(1 \le t \le 10^4\)) — количество наборов входных данных. Далее следует описание наборов входных данных.

Первая строка каждого набора входных данных содержит единственное целое число \(n\) (\(2 \le n \le 2 \cdot 10^5\)) — количество вершин в данном дереве.

Каждая из следующих \(n-1\) строк содержит два целых числа \(u\) и \(v\) (\(1 \le u, v \le n\), \(u \neq v\)), которые означают, что есть в дереве есть ребро между вершинами \(u\) и \(v\).

Гарантируется, что данный граф является деревом.

Гарантируется, что сумма \(n\) по всем наборам входных данных не превосходит \(2 \cdot 10^5\).

Выходные данные

Для каждого набора входных данных выведите одно число — минимальное количество листьев, которое можно получить после нескольких (возможно нуля) действий.

Примечание

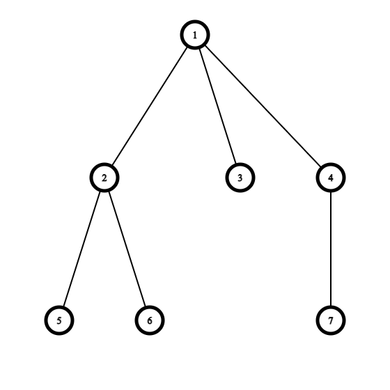
В первом наборе входных данных дерево выглядит следующим образом:

Сначала вы можете выбрать почку \(4\) и переподвесить её за вершину \(3\). После этого вы можете выбрать почку \(2\) и переподвесить её за вершину \(7\). В результате вы получите следующее дерево с \(2\) листьями:

Можно доказать, что это минимальное количество листьев, которое можно получить.

Во втором наборе входных данных дерево выглядит следующим образом:

Вы можете выбрать почку \(3\) и переподвесить её за вершину \(5\). В результате вы получите следующее дерево с \(2\) листьями:

Можно доказать, что это минимальное количество листьев, которое можно получить.


Примеры
Входные данныеВыходные данные
1 5
7
1 2
1 3
1 4
2 5
2 6
4 7
6
1 2
1 3
2 4
2 5
3 6
2
1 2
7
7 3
1 5
1 3
4 6
4 7
2 1
6
2 1
2 3
4 5
3 4
3 6
2
2
1
2
1

time 1000 ms
memory 256 Mb
Правила оформления программ и список ошибок при автоматической проверке задач

Статистика успешных решений по компиляторам
 Кол-во
С++5
Комментарий учителя