Олимпиадный тренинг

Задача . G1. Очень круглый спин (простая версия)


Это простая версия задачи. Разница между простой и сложной версиями задачи заключается только в допустимых символах в \(s\). В простой версии строка \(s\) содержит только символ ?. Вы можете делать взломы только в том случае, если обе версии задачи решены.

Дана перестановка \(p\) длины \(n\). Также дана строка \(s\) длины \(n\), содержащая только символ ?.

Для каждого \(i\) от \(1\) до \(n\):

  • Определим \(l_i\) как наибольший индекс \(j < i\) такой, что \(p_j > p_i\). Если такого индекса не существует, \(l_i := i\).
  • Определим \(r_i\) как наименьший индекс \(j > i\) такой, что \(p_j > p_i\). Если такого индекса не существует, \(r_i := i\).

Изначально есть неориентированный граф с \(n\) вершинами (пронумерованными от \(1\) до \(n\)) и без рёбер. Затем для каждого \(i\) от \(1\) до \(n\) в граф добавляется одно ребро:

  • Если \(s_i =\) L, в граф добавляется ребро \((i, l_i)\).
  • Если \(s_i =\) R, в граф добавляется ребро \((i, r_i)\).
  • Если \(s_i =\) ?, в граф добавляется либо ребро \((i, l_i)\), либо ребро \((i, r_i)\) по вашему выбору.

Найдите максимально возможный диаметр\(^{\text{∗}}\) среди всех связных графов, которые вы можете получить. Выведите \(-1\), если невозможно получить ни один связный граф.

\(^{\text{∗}}\) Пусть \(d(s, t)\) это наименьшее возможное число рёбер на пути от \(s\) до \(t\).

Диаметр графа определяется как наибольшее значение \(d(s, t)\) по всем парам вершин \(s\) и \(t\).

Входные данные

Каждый тест состоит из нескольких наборов входных данных. В первой строке находится одно целое число \(t\) (\(1 \le t \le 2 \cdot 10^4\)) — количество наборов входных данных. Далее следует описание наборов входных данных.

Первая строка каждого набора входных данных содержит одно целое число \(n\) (\(2 \le n \le 4 \cdot 10^5\)) — длину перестановки \(p\).

Вторая строка каждого набора входных данных содержит \(n\) различных целых чисел \(p_1,p_2,\ldots, p_n\) (\(1 \le p_i \le n\)) — элементы \(p\), которые гарантированно являются перестановкой.

Третья строка каждого набора входных данных содержит строку \(s\) длины \(n\). Гарантируется, что строка содержит только символы ?.

Гарантируется, что сумма \(n\) по всем наборам входных данных не превышает \(4 \cdot 10^5\).

Выходные данные

Для каждого набора входных данных выведите одно целое число — максимальный диаметр среди всех связных графов, которые вы можете получить, или \(-1\), если таковых нет.

Примечание

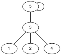
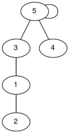
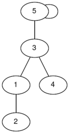
Для первого набора входных данных ниже показаны примеры некоторых графов, которые можно получить (в вершинах написаны индексы):

Во втором наборе входных данных у единственного связного графа диаметр равен \(1\).


Примеры
Входные данныеВыходные данные
1 8
5
2 1 4 3 5
?????
2
1 2
??
3
3 1 2
???
7
5 3 1 6 4 2 7
???????
5
5 2 1 3 4
?????
6
6 2 3 4 5 1
??????
8
1 7 5 6 2 8 4 3
????????
12
6 10 7 1 8 5 12 2 11 3 4 9
????????????
4
1
2
6
4
5
5
8

time 7000 ms
memory 1024 Mb
Правила оформления программ и список ошибок при автоматической проверке задач

Статистика успешных решений по компиляторам
 Кол-во
С++3
Комментарий учителя