Вам дан лес из \(k\) корневых деревьев\(^{\text{∗}}\). Дровосек Тимофей хочет вырубить весь лес, применяя такую операцию:
- Выбрать поддерево\(^{\text{†}}\) какой-либо вершины одного из деревьев и удалить его из дерева.
Тимофей очень любит битовые операции, поэтому он хочет, чтобы побитовое ИЛИ размеров поддеревьев, которые он удалял, было максимальным. Помогите ему и найдите, какой максимальный результат он может получить.
Выходные данные
Для каждого набора входных данных выведите одно целое число — максимальный результат, который можно получить.
Примечание
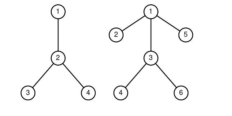
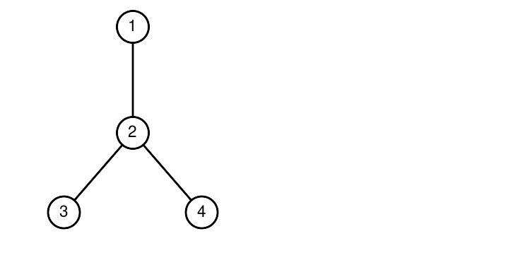
Во втором наборе входных данных деревья выглядят так:

Первой операцией удалим все второе дерево.

Второй операцией удалим вершину \(4\) из первого дерева.

Третьей операцией удалим первое дерево. Результат равен \(6|1|3 = 7\) (\(|\) обозначает побитовое ИЛИ).
В третьем наборе входных данных нужно удалить все дерево.
| № | Входные данные | Выходные данные |
|
1
|
3
1
1
2
4
1 2 2
6
1 1 3 1 3
1
10
1 2 2 1 1 5 7 6 4
|
1
7
10
|