Олимпиадный тренинг

Задача . E. Медвежонок и уничтожение поддеревьев


Лимак — это маленький медвежонок гризли. Однажды он нападёт на страну оленей, но пока что он занимается уничтожением деревьев в компьютерной ролевой игре. Лимак начинает с дерева, состоящего из одной вершины. Эта вершина имеет индекс 1 и является корнем дерева.

Время от времени игра выбирает некоторое поддерево, и Лимак атакует его. Когда Лимак атакует поддерево, он разрушает каждое его ребро независимо с вероятностью . Штрафом Лимака после атаки на поддерево является целое число, равное высоте поддерева после атаки. Высотой поддерева называется самый длинный простой путь, начинающийся в корне поддерева и заканчивающийся в какой-нибудь вершине поддерева.

Вам требуется обрабатывать запросы двух типов.

  • 1 v обозначает запрос первого типа. В дерево добавляется новая вершина, и её родителем является вершина v. Вершина получает минимальный свободный индекс (таким образом, вершины получают номера 2, 3, ...).
  • 2 v обозначает запрос второго типа. Предположим, Лимак атакует поддерево вершины v. Чему в таком случае равно математическое ожидание штрафа, который он получит?

В запросах второго типа только предполагается, что Лимак атакует поддерево, но на самом деле никакие рёбра не разрушаются, и этот запрос никак не влияет на последующие.

Входные данные

В первой строке входных данных записано целое число q (1 ≤ q ≤ 500 000) — количество запросов.

Затем следуют q строк. В i-й из них записаны два целых числа typei и vi (1 ≤ typei ≤ 2). Если typei = 1, то vi означает предка новой вершины, а если typei = 2, то требуется вывести ответ для поддерева, корнем которого является vi.

Гарантируется, что будет хотя бы один запрос второго типа, то есть выходные данные не будут пустыми.

Также гарантируется, что к моменту поступления i-го запроса вершина vi уже существует.

Выходные данные

Для каждого запроса второго типа выведите одно вещественное число — математическое ожидание штрафа Лимака после атаки на соответствующее поддерево. Ваш ответ будет считаться правильным, если его абсолютная или относительная ошибка не будет превосходить 10 - 6.

А именно: пусть ваш ответ равен a, а ответ жюри — b. Проверяющая программа будет считать ваш ответ правильным, если .

Примечание

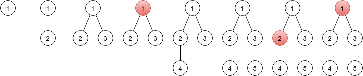
На рисунке ниже представлен первый пример. Красными кружочками обозначены запросы второго типа.


Примеры
Входные данныеВыходные данные
1 7
1 1
1 1
2 1
1 2
1 3
2 2
2 1
0.7500000000
0.5000000000
1.1875000000
2 8
2 1
1 1
1 2
1 3
1 4
2 1
1 4
2 1
0.0000000000
0.9375000000
0.9687500000

time 5000 ms
memory 512 Mb
Правила оформления программ и список ошибок при автоматической проверке задач

Статистика успешных решений по компиляторам
 Кол-во
С++ Mingw-w641
Комментарий учителя