Олимпиадный тренинг

Задача . E. Неизбежный объезд


Те, кто не хотят возвращаться домой из дальнего путешествия, будут поражены болезнью улитки и потеряются. Майои, переносчик болезни, не хочет, чтобы такое случалось, но не может ничем помочь до того, как найдется лекарство. Сейчас она лишь хочет узнать, насколько сложно придется потерявшемуся.

В регионе находятся n городов, пронумерованных от 1 до n, город номер 1 является столицей. Сеть дорог образована двусторонними дорогами равной длины, каждая из которых соединяет два города. Никакие две дороги не соединяют одинаковые пары городов, и никакая дорога не соединяет город сам с собой. Потерявшиеся не могут узнать, как устроена сеть, но жители могут предоставить следующую информацию:

  • Из любого города существует ровно один кратчайший (по числу дорог) путь до столицы;
  • Пусть расстояние от города i до столицы равно li. Тогда li ≥ li - 1 выполняется для всех 2 ≤ i ≤ n;
  • К городу i подходит ровно di дорог, и это число равно либо 2, либо 3.

Подсчитайте, сколько различных сетей дорог существует с заданными ограничениями и выведите ответ по модулю 109 + 7. Две сети считаются различными, если есть пара (u, v) (1 ≤ u, v ≤ n) такая, что в одной сети есть дорога между городами u и v, а в другой такой дороги нет.

Входные данные

В первой строке находится целое число n (3 ≤ n ≤ 50) — количество городов.

Во второй строке находятся n целых чисел d1, d2, ..., dn (2 ≤ di ≤ 3) — количество дорог, подходящих к городам 1, 2, ..., n, соответственно. Гарантируется, что сумма di по всем i четна.

Выходные данные

Выведите одно число — число различных графов по модулю 109 + 7.

Примечание

В первом примере следующая сеть — единственная, удовлетворяющая ограничениям. Все расстояния из столицы до городов 2, 3, 4 равны 1.

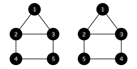
Во втором примере следующие две сети удовлетворяют условию:


Примеры
Входные данныеВыходные данные
1 4
3 2 3 2
1
2 5
2 3 3 2 2
2
3 5
2 2 2 2 2
2
4 20
2 2 2 2 3 2 3 2 2 2 2 2 2 2 2 2 2 3 3 2
82944

time 3000 ms
memory 256 Mb
Правила оформления программ и список ошибок при автоматической проверке задач

Статистика успешных решений по компиляторам
 Кол-во
С++ Mingw-w644
Комментарий учителя