Олимпиадный тренинг

Задача . Рекурсия - 3


Задача

Темы: Рекурсия

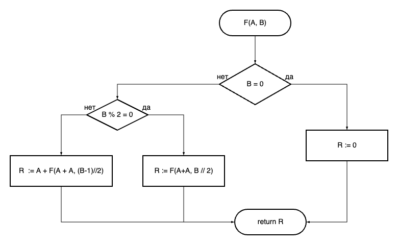
Дана блок-схема алгоритма F(A, B)

Найдите такую пару целых положительных чисел A и B (известно, что B > 1), чтобы вызов F(A, B) вернул число 2097152. Если таких пар существует несколько, найдите ту, у которой максимальное значение A. В ответе укажите через пробел сначала значение A и затем значение B.



 

time 1000 ms
memory 256 Mb
Правила оформления программ и список ошибок при автоматической проверке задач

Статистика успешных решений по компиляторам
 Кол-во
Python8
Комментарий учителя