Олимпиадный тренинг

Задача . Бинарная сила


Задача

Темы:
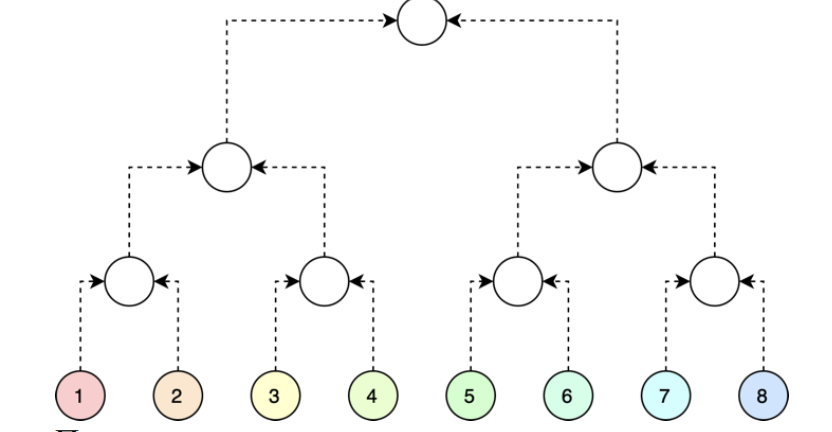
Вы играете в игру «Бинарная Сила» и управляете персонажем, у которого есть 𝑑 = 2𝑛 навыков, пронумерованных 1 до 𝑑. Эти навыки расположены на листьях полного двоичного дерева высоты 𝑛, изначально все навыки имеют уровень 1. Пример такого дерева для 𝑛 = 3 приведен на иллюстрации ниже.



После этого вы начинаете прокачивать навыки следующим образом.
• Навыки прокачиваются посредством заполнения двоичного дерева снизу вверх.
• Для очередной вершины дерева вы должны выбрать и записать в нее один из двух навыков, записанных в
непосредственных детях этой вершины (на рисунке из детей в родителя ведут стрелки).
• Уровнем навыка считается число вершин, в которых выбран этот навык.
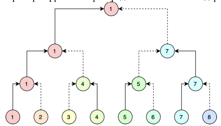
Пример корректного распределения навыков по дереву для 𝑛 = 3 приведен ниже.


В этом примере первый навык имеет уровень 4, седьмой – уровень 3, четвертый и пятый – уровень 2, а второй, третий, шестой и восьмой не были прокачаны ни разу, поэтому остались на уровне 1.
Кроме прокачки персонажа, в игре есть 𝑚 различных квестов, с помощью которых можно получать монетки. Квесты активируются после того, как все дерево навыков было заполнено.
Квесты бывают трех типов:
1. «𝑙𝑒𝑠𝑠 𝑥𝑖 𝑘𝑖 𝑠𝑖» – вы получите 𝑠𝑖 монет, если уровень навыка с номером 𝑥𝑖 окажется строго меньше 𝑘𝑖 .
2. «𝑒𝑥𝑎𝑐𝑡 𝑥𝑖 𝑘𝑖 𝑠𝑖» – вы получите 𝑠𝑖 монет, если уровень навыка с номером 𝑥𝑖 окажется равен 𝑘𝑖 .
3. «𝑙𝑒𝑠𝑠 𝑥𝑖 𝑘𝑖 𝑠𝑖» – вы получите 𝑠𝑖 монет, если уровень навыка с номером 𝑥𝑖 окажется строго больше 𝑘𝑖 .
Так как монеты – очень ценный ресурс в игре «Бинарная Сила», вы хотите узнать максимальное количество монет, которое возможно получить с помощью имеющихся квестов после улучшения всех навыков.

Формат входных данных
Каждый тест состоит из нескольких независимых наборов входных данных. Первая строка содержит одно целое число 𝑡 – количество наборов входных данных (1 ≤ 𝑡 ≤ 104). Далее следует описание наборов входных данных.
Каждый набор начинается со строки, содержащей два целых числа 𝑛 и 𝑚 – высоту дерева навыков и количество квестов соответственно (1 ≤ 𝑛 ≤ 15; 0 ≤ 𝑚 ≤ 50 000). Число навыков при этом равно 𝑑 = 2𝑛.
Далее следуют 𝑚 строк, 𝑖-я из которых содержит четыре целых числа 𝑡𝑖, 𝑥𝑖, 𝑘𝑖, 𝑠𝑖 – тип квеста и его описание (1 ≤ 𝑡𝑖 ≤ 3; 1 ≤ 𝑥𝑖 ≤ 𝑑; 1 ≤ 𝑘𝑖 ≤ 𝑛; 1 ≤ 𝑠𝑖 ≤ 109). Типы квестов следуют в том же порядке, в котором они перечислены в условии: 𝑡𝑖=1 соответствует квесту типа «𝑙𝑒𝑠𝑠», 𝑡𝑖 = 2 – квесту типа «𝑒𝑥𝑎𝑐𝑡» и 𝑡𝑖 = 3 – квесту типа «𝑚𝑜𝑟𝑒».
Гарантируется, что сумма 𝑑 по всем наборам входных данных не превосходит 216 и сумма 𝑚 по всем наборам входных данных не превосходит 50 000

Формат выходных данных
Для каждого набора выходных данных в отдельной строке выведите единственное число – максимальное количество монет, которые можно заработать.
 

time 1000 ms
memory 256 Mb
Правила оформления программ и список ошибок при автоматической проверке задач

Статистика успешных решений по компиляторам
Комментарий учителя