Задано неориентированное невзвешенное дерево, состоящее из \(n\) вершин.
Неориентированное дерево — это связный неориентированный граф с \(n - 1\) ребром.
Ваша задача — выбрать две пары вершин этого дерева (все выбранные вершины должны быть различны) \((x_1, y_1)\) и \((x_2, y_2)\) таким образом, что \(x_1\) и \(y_1\) не должны принадлежать простому пути от \(x_2\) до \(y_2\) и наоборот (\(x_2\) и \(y_2\) не должны принадлежать простому пути от \(x_1\) до \(y_1\)).
Гарантируется, что для заданного дерева всегда возможно выбрать такие пары.
Среди всех возможных способов выбрать эти пары вам необходимо выбрать способ с максимальным количеством общих вершин между путями от \(x_1\) до \(y_1\) и от \(x_2\) до \(y_2\). И среди всех таких пар вам необходимо выбрать пару с максимальной суммарной длиной этих двух путей.
Гарантируется, что для заданного дерева существует ответ, содержащий хотя бы две общие вершины между путями.
Длина пути — это количество ребер в нем.
Простой путь — это путь, посещающий каждую вершину не более одного раза.
Выходные данные
Выведите любые две пары вершин, удовлетворяющие ограничениям, описанным в условии задачи.
Гарантируется, что для заданного дерева всегда возможно выбрать такие пары.
Примечание
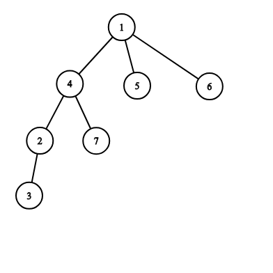
Картинка, соответствующая первому тестовому примеру: 
Пересечение путей равно \(2\) (вершины \(1\) и \(4\)), а суммарная длина равна \(4 + 3 = 7\).
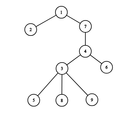
Картинка, соответствующая второму тестовому примеру: 
Пересечение путей равно \(2\) (вершины \(3\) и \(4\)), а суммарная длина равна \(5 + 3 = 8\).
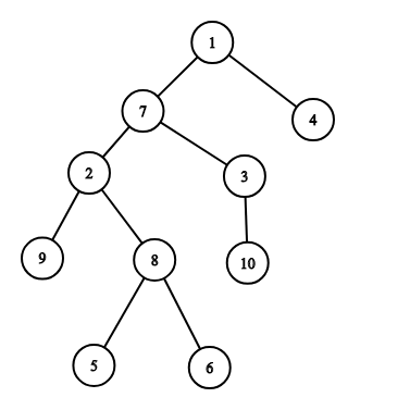
Картинка, соответствующая третьему тестовому примеру: 
Пересечение путей равно \(3\) (вершины \(2\), \(7\) и \(8\)), а суммарная длина равна \(5 + 5 = 10\).
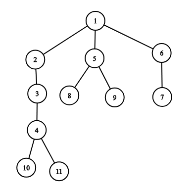
Картинка, соответствующая четвертому тестовому примеру: 
Пересечение путей равно \(5\) (вершины \(1\), \(2\), \(3\), \(4\) и \(5\)), а суммарная длина равна \(6 + 6 = 12\).
| № | Входные данные | Выходные данные |
|
1
|
7
1 4
1 5
1 6
2 3
2 4
4 7
|
3 6
7 5
|
|
2
|
9
9 3
3 5
1 2
4 3
4 7
1 7
4 6
3 8
|
2 9
6 8
|
|
3
|
10
6 8
10 3
3 7
5 8
1 7
7 2
2 9
2 8
1 4
|
10 6
4 5
|
|
4
|
11
1 2
2 3
3 4
1 5
1 6
6 7
5 8
5 9
4 10
4 11
|
9 11
8 10
|