Олимпиадный тренинг

Задача . C. Максимальный Mex


Однажды Гриша нашёл дерево (связный ациклический граф) с корнем в вершине \(1\).

Но дерево было не простое — в вершинах этого дерева записана перестановка \(p\) чисел от \(0\) до \(n - 1\), в \(i\)-й вершине записано число \(p_i\).

Так как Гриша любит придумывать себе странные и интересные задачи, но не всегда с ними справляется, вам нужно помочь ему обработать два типа запросов на этом дереве.

Определим функцию \(MEX(S)\), где \(S\) является множеством целых неотрицательных чисел, как наименьшее целое неотрицательное число, не входящее в множество.

Пусть \(l\) — простой путь в дереве. Тогда обозначим за \(u_1\), \(u_2\), \(\ldots\), \(u_k\) — номера вершин, принадлежащих \(l\).

Обозначим за \(V(l)\) множество {\(p_{u_1}\), \(p_{u_2}\), \(\ldots\) , \(p_{u_k}\)}.

Тогда запросы таковы:

  1. Для двух вершин \(i\) и \(j\) нужно поменять местами значения \(p_i\) и \(p_j\).
  2. Требуется найти максимальный \(MEX(V(l))\) по все возможным \(l\).
Входные данные

Первая строка содержит одно целое число \(n\) (\(2 \leq n \leq 2 \cdot 10^5\)) — количество вершин в дереве.

Вторая строка содержит \(n\) целых чисел \(p_1\), \(p_2\), \(\ldots\), \(p_n\) (\(0\leq p_i < n\)) — перестановка \(p\). Гарантируется, что все числа различны.

Третья строка содержит \(n - 1\) целое число \(d_2\), \(d_3\), \(\ldots\), \(d_n\) (\(1 \leq d_i < i\)), где \(d_i\) — непосредственный предок вершины \(i\) в дереве.

Четвёртая строка содержит одно целое число \(q\) (\(1 \leq q \leq 2 \cdot 10^5\)) — количество запросов.

Следующие \(q\) строк содержат описание запросов:

Каждая из следующих \(q\) строк содержит одно целое число \(t\) (\(1\) или \(2\)) — тип запроса.

  1. Если \(t = 1\), далее следуют два целых числа \(i\) и \(j\) (\(1 \leq i, j \leq n\)) — номера вершин, значения перестановки в которых нужно поменять местами.
  2. Если же \(t = 2\), нужно найти максимальный \(MEX(V(l))\) по все возможным \(l\).
Выходные данные

Для каждого запроса второго типа выведите единственное число — ответ на запрос.

Примечание

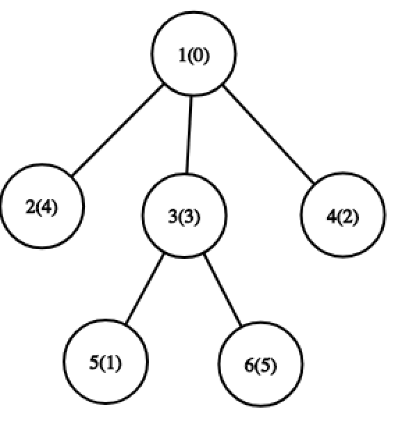
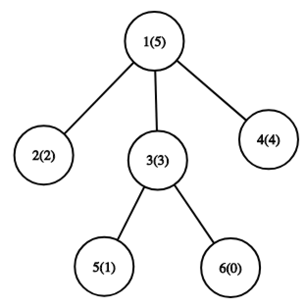
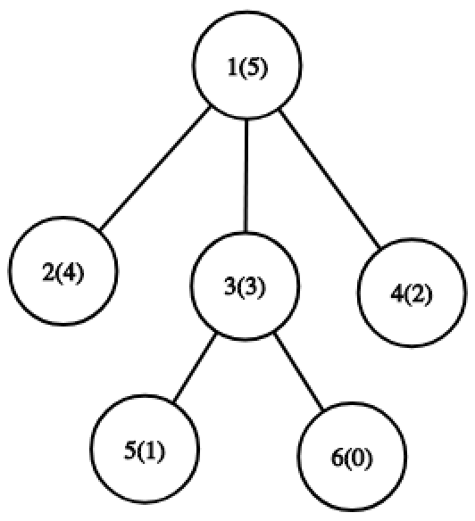
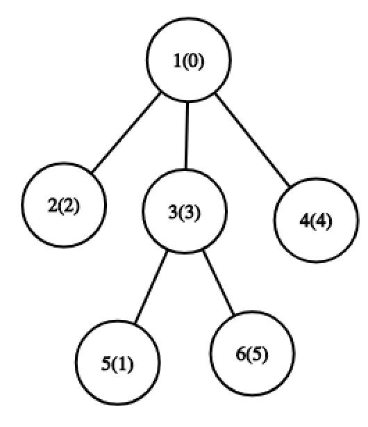
Число в скобках обозначает значение перестановки для вершины.

В первом примере для первого запроса оптимальный путь — из вершины \(1\) в вершину \(5\). Для него множество значений \(\{0, 1, 2\}\), а \(MEX\) соответсвенно — \(3\).
Для третьего запроса оптимальный путь — из вершины \(5\) в вершину \(6\). Для него множество значений \(\{0, 1, 4\}\), а \(MEX\) соответсвенно — \(2\).
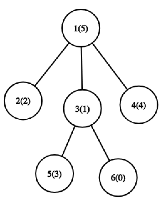
Во втором примере для первого запроса оптимальный путь — из вершины \(2\) в вершину \(6\). Для него множество значений \(\{0, 1, 2, 5\}\), а \(MEX\) соответсвенно — \(3\).
Для третьего запроса оптимальный путь — из вершины \(5\) в вершину \(6\). Для него множество значений \(\{0, 1, 3\}\), а \(MEX\) соответсвенно — \(2\).
Для пятого запроса оптимальный путь — из вершины \(5\) в вершину \(2\). Для него множество значений \(\{0, 1, 2, 3\}\), а \(MEX\) соответсвенно — \(4\).
Для седьмого запроса оптимальный путь — из вершины \(5\) в вершину \(4\). Для него множество значений \(\{0, 1, 2, 3\}\), а \(MEX\) соответсвенно — \(4\).
Для девятого запроса оптимальный путь — из вершины \(6\) в вершину \(5\). Для него множество значений \(\{0, 1, 3\}\), а \(MEX\) соответсвенно — \(2\).

Примеры
Входные данныеВыходные данные
1 6
2 5 0 3 1 4
1 1 3 3 3
3
2
1 6 3
2
3
2
2 6
5 2 1 4 3 0
1 1 1 3 3
9
2
1 5 3
2
1 6 1
2
1 4 2
2
1 1 6
2
3
2
4
4
2

time 3000 ms
memory 256 Mb
Правила оформления программ и список ошибок при автоматической проверке задач

Статистика успешных решений по компиляторам
 Кол-во
С++ Mingw-w645
Комментарий учителя