Олимпиадный тренинг

Задача . F. Спички детям не игрушка


Лена играется со спичками. Естественный вопрос, посещающий любого школьника, играющего со спичками — а можно ли поджечь спичкой дерево?

Скажем, что дерево — это связный граф без циклов, вершины которого пронумерованы целыми числами \(1, 2, \ldots, n\), в каждой вершине которого также записано некоторое целое число \(p_v\), являющееся приоритетом вершины \(v\). Все приоритеты различны.

Оказывается, что если поджечь дерево, то оно, как и можно было ожидать, сгорит целиком. Однако процесс этот не быстрый. Сначала у дерева сгорает лист (листом называется вершина, имеющая ровно одного соседа) с минимальным приоритетом, затем сгорает лист с минимальным приоритетом из оставшихся вершин дерева, и так далее. Таким образом, вершины превращаются в листья и сгорают до тех пор, пока от дерева не останется лишь одна вершина, после чего она тоже сгорает.

Лена приготовила дерево из \(n\) вершин и в каждой вершине записала приоритет \(p_v = v\). Лене с одной стороны интересно посмотреть, как горит дерево, но с другой она понимает, что если дерево поджечь, оно исчезнет насовсем. Лена добрая девочка, и деревья ей жалко, так что она хочет ограничиться выяснением ответов на некоторые вопросы про процесс сгорания дерева в уме. Лена хочет ответить на \(q\) вопросов, каждый из которых относится к одному из трёх следующих видов:

  • «up \(v\)», присвоить вершине \(v\) приоритет \(1 + \max\{p_1, p_2, \ldots, p_n\}\);
  • «when \(v\)», выяснить, какой по счёту сгорит вершина \(v\), если дерево поджечь сейчас;
  • «compare \(v\) \(u\)», выяснить, какая из вершин \(v\) и \(u\) сгорит раньше, если дерево поджечь сейчас.

Заметим, что если приоритеты всех вершин сейчас различны, то и после выполнения запроса «up» они тоже останутся различными. Исходно они различны, поэтому в любой момент времени порядок сгорания листьев определён однозначно.

Входные данные

Первая строка содержит два целых числа \(n\) и \(q\) (\(2 \le n \le 200\,000\), \(1 \le q \le 200\,000\)) — количество вершин дерева и количество вопросов.

В \(i\)-й из следующих \(n - 1\) строк находятся два целых числа \(v_i\), \(u_i\) (\(1 \le v_i, u_i \le n\)), задающие концы \(i\)-го ребра дерева.

Каждая из оставшихся \(q\) строк содержит операцию одного из трёх типов.

  • «up \(v\)» (\(1 \le v \le n\)) — присвоить новый приоритет вершине \(v\);
  • «when \(v\)» (\(1 \le v \le n\)) — определить момент сгорания вершины \(v\) для текущего дерева;
  • «compare \(v\) \(u\)» (\(1 \le v, u \le n\), \(v \ne u\)) — определить, какая из вершин \(v\) и \(u\) сгорит раньше для текущего дерева.

Гарантируется, что среди запросов хотя бы один имеет тип «when» или «compare».

Выходные данные

Для каждого запроса типа «when» нужно вывести одно целое число от \(1\) до \(n\) — момент времени, когда сгорит вершина \(v\).

Для запроса типа «compare» выведите \(v\) или \(u\), в зависимости от того, какая вершина сгорит раньше.

Примечание

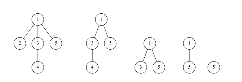
В первом примере процесс сгорания исходного дерева проиллюстрирован на картинке:

В частности, порядок сгорания вершин следующий: \([2, 4, 3, 1, 5]\).

Во втором примере после применения операции «up» порядок сгорания вершин станет следующим: \([2, 4, 3, 5, 1]\)


Примеры
Входные данныеВыходные данные
1 5 7
1 5
1 2
1 3
4 3
when 1
when 2
when 3
when 4
when 5
compare 2 3
compare 3 4
4
1
3
2
5
2
4
2 5 5
1 5
1 2
1 3
4 3
up 1
compare 2 4
compare 4 3
compare 3 1
compare 1 5
2
4
3
5

time 4000 ms
memory 512 Mb
Правила оформления программ и список ошибок при автоматической проверке задач

Статистика успешных решений по компиляторам
Комментарий учителя