Вам дано корневое дерево, состоящее из \(n\) вершин, пронумерованных от \(1\) до \(n\). Корень дерева находится в вершине с номером \(1\).
Дерево — это связный неориентированный граф с \(n-1\) ребром.
Вам заданы \(m\) запросов. \(i\)-й запрос состоит из множества \(k_i\) различных вершин \(v_i[1], v_i[2], \dots, v_i[k_i]\). Ваша задача — определить, существует ли путь от корня до некоторой вершины \(u\) такой, что каждая из заданных \(k\) вершин или принадлежит этому пути, или расположена на расстоянии \(1\) от некоторой вершины на этом пути.
Выходные данные
Для каждого запроса выведите ответ — «YES», если существует путь от корня до некоторой вершины \(u\) такой, что каждая из \(k\) заданных вершин или принадлежит этому пути, или расположена на расстоянии \(1\) от какой-либо вершины на этом пути, и «NO» в противном случае.
Примечание
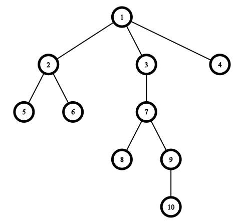
Изображение, относящееся к примеру:

Рассмотрим запросы.
Первый запрос — \([3, 8, 9, 10]\). Ответ — «YES», так как вы можете выбрать путь от корня \(1\) до вершины \(u=10\). Тогда вершины \([3, 9, 10]\) принадлежат пути от \(1\) до \(10\) и вершина \(8\) расположена на расстоянии \(1\) от вершины \(7\), которая также принадлежит этому пути.
Второй запрос — \([2, 4, 6]\). Ответ — «YES», так как вы можете выбрать путь до вершины \(u=2\). Тогда вершина \(4\) находится на расстоянии \(1\) от вершины \(1\), которая принадлежит этому пути, а вершина \(6\) находится на расстоянии \(1\) от вершины \(2\), которая принадлежит этому пути.
Третий запрос — \([2, 1, 5]\). Ответ — «YES», так как вы можете выбрать путь до вершины \(u=5\) и все вершины из запроса будут принадлежать этому пути.
Четвертый запрос — \([4, 8, 2]\). Ответ — «YES», так как вы можете выбрать путь до вершины \(u=9\), и вершины \(2\) и \(4\) расположены на расстоянии \(1\) от вершины \(1\), которая принадлежит этому пути, а вершина \(8\) расположена на расстоянии \(1\) от вершины \(7\), которая принадлежит этому пути.
Ответ и на пятый, и на шестой запросы — «NO», потому что вы не можете выбрать подходящую вершину \(u\).
| № | Входные данные | Выходные данные |
|
1
|
10 6
1 2
1 3
1 4
2 5
2 6
3 7
7 8
7 9
9 10
4 3 8 9 10
3 2 4 6
3 2 1 5
3 4 8 2
2 6 10
3 5 4 7
|
YES
YES
YES
YES
NO
NO
|