Вам задан граф, состоящий из \(n\) вершин и \(m\) ребер. Не гарантируется, что заданный граф связен. Некоторые ребра уже ориентированы и вы не можете менять их направление. Остальные ребра являются неориентированными и вам необходимо выбрать какое-то направление для всех этих ребер.
Вам необходимо ориентировать неориентированные ребра таким образом, что получившийся граф будет ориентированным и ацикличным (то есть графом, каждое ребро которого имеет ориентацию, а сам граф не имеет циклов). Заметьте, что вам необходимо ориентировать все неориентированные ребра.
Вам необходимо ответить на \(t\) независимых наборов тестовых данных.
Выходные данные
Выведите ответ на каждый набор тестовых данных — «NO», если невозможно ориентировать неориентированные ребра таким образом, чтобы получившийся граф был ориентированным и ацикличным, иначе выведите «YES» в первой строке, а затем \(m\) строк, описывающие ребра получившегося ориентированного ацикличного графа (в любом порядке). Заметьте, что вы не можете менять направление уже ориентированных ребер. Если существует несколько ответов, выведите любой.
Примечание
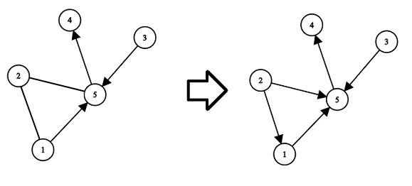
Объяснение второго набора тестовых данных примера:

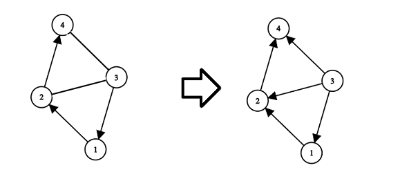
Объяснение третьего набора тестовых данных примера:

| № | Входные данные | Выходные данные |
|
1
|
4
3 1
0 1 3
5 5
0 2 1
1 1 5
1 5 4
0 5 2
1 3 5
4 5
1 1 2
0 4 3
1 3 1
0 2 3
1 2 4
4 5
1 4 1
1 1 3
0 1 2
1 2 4
1 3 2
|
YES
3 1
YES
2 1
1 5
5 4
2 5
3 5
YES
1 2
3 4
3 1
3 2
2 4
NO
|