Олимпиадный тренинг

Задача . E. Пары пар


У вас есть простой связный неориентированный граф, состоящий из \(n\) вершин и \(m\) ребер.

Рассмотрим все способы разбить на пары некоторое подмножество из этих \(n\) вершин, чтобы ни одна вершина не присутствовала более чем в одной паре.

Такое паросочетание считается хорошим, если для каждой пары выбранных пар индуцированный подграф, содержащий все \(4\) вершины, по два из каждой пары, имеет не более \(2\) ребер (из \(6\) возможных ребер). Более формально, для любых двух выбранных пар \((a,b)\) и \((c,d)\) индуцированный подграф с вершинами \(\{a,b,c,d\}\) должен иметь не более \(2\) ребер.

Обратите внимание, что подграф, индуцированный набором вершин, содержит вершины только из этого набора и ребра, оба конца которых находятся в этом наборе.

Теперь сделайте одно из двух

  • Найдите простой путь, состоящий как минимум из \(\lceil \frac{n}{2} \rceil\) вершин. Здесь путь называется простым, если он не посещает какую-либо вершину несколько раз.
  • Найдите хорошее паросочетание, в котором по крайней мере у \(\lceil \frac{n}{2} \rceil\) вершин есть пара.

Можно показать, что в каждом графе, удовлетворяющим ограничениям из условия, можно найти или первое, или второе (или оба).

Входные данные

Каждый тест содержит несколько наборов входных данных. В первой строке записано количество наборов входных данных \(t\) (\(1 \le t \le 10^5\)). Описание наборов входных данных приведено ниже.

Первая строка каждого набора входных данных содержит \(2\) целых числа \(n, m\) (\(2 \le n \le 5\cdot 10^5\), \(1 \le m \le 10^6\)), обозначающих количество вершин и ребер графа соответственно.

Каждая из следующих \(m\) строк содержит \(2\) целых числа \(u\) и \(v\) (\(1 \le u, v \le n\), \(u \neq v\)), что обозначает наличие неориентированного ребра между вершинами \(u\) и \(v\) в данном графе.

Гарантируется, что данный граф является связным и простым  — он не содержит кратных ребер и петель.

Гарантируется, что сумма \(n\) по всем наборам входных данных не превышает \(5\cdot 10^5\).

Гарантируется, что сумма \(m\) по всем наборам входных данных не превышает \(10^6\).

Выходные данные

Для каждого набора входных данных придерживайтесь следующего формата вывода:

Если вы нашли хорошее паросочетание, в первой строке выведите «PAIRING» (без кавычек).

  • Затем выведите \(k\) (\(\lceil \frac{n}{2} \rceil \le 2\cdot k \le n\)), количество пар в вашем паросочетании.
  • Затем в каждой из следующих \(k\) строк выведите по \(2\) целых числа \(a\) и \(b\)  —, обозначающих, что \(a\) и \(b\) находятся в одной паре. Заметьте, что в графе не обязано быть ребро между вершинами \(a\) и \(b\)!
  • Это паросочетание должно быть хорошим, и каждая вершина должен входить не более в \(1\) пару.

В противном случае в первой строке выведите «PATH» (без кавычек).

  • Затем выведите \(k\) (\(\lceil \frac{n}{2} \rceil \le k \le n\)), количество узлов на вашем пути.
  • Затем во второй строке выведите \(k\) целых чисел, \(v_1, v_2, \ldots, v_k\), в том порядке, в котором они встречаются на пути. Формально, \(v_i\) и \(v_{i+1}\) должны иметь ребро между ними для каждого \(i\) (\(1 \le i < k\)).
  • Этот путь должен быть простым, то есть ни одна вершина не должна встречаться на нем более одного раза.
Примечание

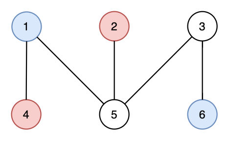
Путь, полученный в первом наборе входных данных, следующий.

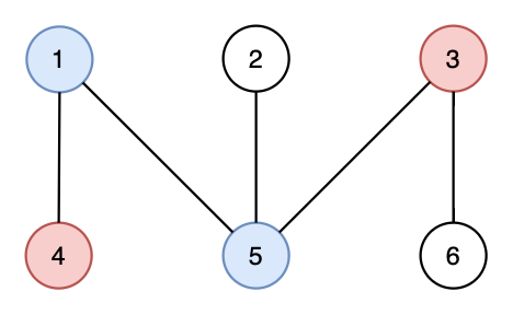
Вот хорошее паросочетание для первого набора входных данных.

Вот нехорошее паросочетание для первого набора входных данных  — подграф \(\{1,3,4,5\}\) имеет \(3\) ребра.

Вот паросочетание, полученное во втором наборе входных данных.

Оно хорошее потому, что  —

  • Подграф \(\{1,8,2,5\}\) содержит ребра (\(1\),\(2\)) и (\(1\),\(5\)).
  • Подграф \(\{1,8,4,10\}\) содержит ребра (\(1\),\(4\)) и (\(4\),\(10\)).
  • Подграф \(\{4,10,2,5\}\) содержит ребра (\(2\),\(4\)) и (\(4\),\(10\)).

Вот еще одно хорошее паросочетание для второго набора входных данных.


Примеры
Входные данныеВыходные данные
1 4
6 5
1 4
2 5
3 6
1 5
3 5
6 5
1 4
2 5
3 6
1 5
3 5
12 14
1 2
2 3
3 4
4 1
1 5
1 12
2 6
2 7
3 8
3 9
4 10
4 11
2 4
1 3
12 14
1 2
2 3
3 4
4 1
1 5
1 12
2 6
2 7
3 8
3 9
4 10
4 11
2 4
1 3
PATH
4 
1 5 3 6
PAIRING
2
1 6
2 4
PAIRING
3
1 8
2 5
4 10
PAIRING
4
1 7
2 9
3 11
4 5

time 3000 ms
memory 256 Mb
Правила оформления программ и список ошибок при автоматической проверке задач

Статистика успешных решений по компиляторам
 Кол-во
С++5
Комментарий учителя