Олимпиадный тренинг

Задача . G. Переезд в столицу


В Берляндии находятся \(n\) городов. Город с номером \(1\) является столицей. Некоторые пары городов соединены односторонней дорогой длины 1.

Перед поездкой Поликарп для каждого города узнал величину \(d_i\) — расстояние от столицы (города с номером \(1\)) до города с номером \(i\). Поликарп начинает своё путешествие в городе с номером \(s\) и, находясь в \(i\)-м городе, выбирает одно из следующих действий:

  1. Поехать из \(i\)-го города в \(j\)-й, если существует дорога из \(i\)-го города в \(j\)-й и \(d_i < d_j\);
  2. Поехать из \(i\)-го города в \(j\)-й, если существует дорога из \(i\)-го города в \(j\)-й и \(d_i \geq d_j\);
  3. Прекратить путешествие.

Так как правительство Берляндии не хочет, чтобы все люди съезжались в столицу, поэтому Поликарп может не более одного раза совершить действие из пункта два. Иными словами, второе действие он может совершить \(0\) или \(1\) раз. Поликарп же, наоборот, хочет оказаться как можно ближе к столице.

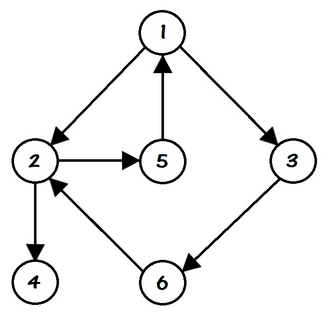
Например, если \(n = 6\) и города соединены, как на картинке выше, то Поликарп мог совершить следующие путешествия (не все возможные варианты):

  • \(2 \rightarrow 5 \rightarrow 1 \rightarrow 2 \rightarrow 5\);
  • \(3 \rightarrow 6 \rightarrow 2\);
  • \(1 \rightarrow 3 \rightarrow 6 \rightarrow 2 \rightarrow 5\).

Поликарп хочет узнать для каждого стартового города \(i\) узнать, на какое ближайшее расстояние он может подобраться к столице. Более формально: он хочет узнать минимальное значение \(d_j\), такое что Поликарп может добраться из города \(i\) в город \(j\) по выше описанным правилам.

Входные данные

В первой строке находится одно целое число \(t\) (\(1 \leq t \leq 10^4\)) — количество наборов входных данных. Далее следуют \(t\) наборов входных данных.

Перед каждым набором входных данных расположена пустая строка.

Первая строка каждого набора содержит два целых числа \(n\) (\(2 \leq n \leq 2 \cdot 10^5\)) и \(m\) (\(1 \leq m \leq 2 \cdot 10^5\)) — количество городов и дорог соответственно.

Далее следуют \(m\) строк, описывающих дороги. Каждая дорога характеризуется двумя целыми числами \(u\) и \(v\) (\(1 \leq u, v \leq n, u \ne v\)) — номера городов, соединённых односторонней дорогой.

Гарантируется, что суммы \(n\) и \(m\) по всем наборам входных данных не превышают \(2 \cdot 10^5\).

Гарантируется, что для каждой пары различных городов \((u, v)\) существует не более одной дороги из \(u\) в \(v\) (но пара встречных дорог из \(u\) в \(v\) и из \(v\) в \(u\) — допустима).

Гарантируется, что из столицы существует путь до всех городов.

Выходные данные

Для каждого набора входных данных в отдельной строке выведите \(n\) чисел, \(i\)-е из которых равно минимально возможному расстоянию от столицы до города, в котором Поликарп закончил своё путешествие.


Примеры
Входные данныеВыходные данные
1 3

6 7
1 2
1 3
2 5
2 4
5 1
3 6
6 2

2 2
1 2
2 1

6 8
1 2
1 5
2 6
6 1
2 3
3 4
4 2
5 4
0 0 1 2 0 1 
0 0 
0 0 2 1 1 0

time 4000 ms
memory 256 Mb
Правила оформления программ и список ошибок при автоматической проверке задач

Статистика успешных решений по компиляторам
 Кол-во
С++ Mingw-w645
Комментарий учителя