Олимпиадный тренинг

Задача . F. Треугольные пути


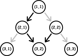
Рассмотрим бесконечный треугольник, состоящий из слоев. Занумеруем слои, начиная с единицы, от верхней точки треугольника (сверху вниз). На \(k\)-м слое треугольника расположены \(k\) точек, пронумерованных слева направо. Каждая точка бесконечного треугольника описывается парой чисел \((r, c)\) (\(1 \le c \le r\)), где \(r\) — номер слоя, а \(c\) — номер точки в слое. Из каждой точки \((r, c)\) исходит два направленных ребра в точки \((r+1, c)\) и \((r+1, c+1)\), но только одно из рёбер активировано. Если \(r + c\) — чётно, тогда активировано ребро в точку \((r+1, c)\), иначе активировано ребро в точку \((r+1, c+1)\). Изучите картинку для лучшего понимания.

Черным цветом обозначены активированные ребра. Серым цветом обозначены не активированные ребра.

Из точки \((r_1, c_1)\) можно дойти до точки \((r_2, c_2)\), если между ними существует путь только из активированных рёбер. Например, на картинке выше существует путь из точки \((1, 1)\) в точку \((3, 2)\), но не существует пути из точки \((2, 1)\) в точку \((1, 1)\).

Изначально вы находитесь в точке \((1, 1)\). За каждый ход вы можете:

  • Заменить активированное ребро для точки \((r, c)\). То есть, если активировано ребро в точку \((r+1, c)\), то вместо него активированным станет ребро в точку \((r+1, c+1)\), иначе, если активировано ребро в точку \((r+1, c+1)\), то вместо него активированным станет ребро в точку \((r+1, c)\). Это действие увеличивает стоимость пути на \(1\);
  • Переместиться из текущей точку в другую, перейдя по активированному ребру. Это действие не увеличивает стоимость пути.

Вам дана последовательность из \(n\) точек бесконечного треугольника \((r_1, c_1), (r_2, c_2), \ldots, (r_n, c_n)\). Найдите путь минимальной стоимости из точки \((1, 1)\), проходящий через все \(n\) точек в произвольном порядке.

Входные данные

Первая строка содержит одно целое \(t\) (\(1 \le t \le 10^4\)) — количество наборов входных данных. Далее следуют \(t\) наборов входных данных.

Каждый набор начинается со строки, в которой записано одно целое число \(n\) (\(1 \le n \le 2 \cdot 10^5\)) — количество точек, которые необходимо посетить.

Во второй строке находится \(n\) чисел \(r_1, r_2, \ldots, r_n\) (\(1 \le r_i \le 10^9\)), где \(r_i\) — номер слоя, в котором находится \(i\)-я точка.

Во третьей строке находится \(n\) чисел \(c_1, c_2, \ldots, c_n\) (\(1 \le c_i \le r_i\)), где \(c_i\) — номер \(i\)-й точки в слое \(r_i\).

Гарантируется, что все \(n\) точек различны.

Гарантируется, что всегда существует хотя бы один способ обойти все \(n\) точек.

Гарантируется, что сумма \(n\) по всем наборам входных данных не превосходит \(2 \cdot 10^5\).

Выходные данные

Для каждого набора входных данных выведите одно целое число — минимальную стоимость пути, проходящего через все точки в соответствующем наборе входных данных.


Примеры
Входные данныеВыходные данные
1 4
3
1 4 2
1 3 1
2
2 4
2 3
2
1 1000000000
1 1000000000
4
3 10 5 8
2 5 2 4
0
1
999999999
2

time 2000 ms
memory 256 Mb
Правила оформления программ и список ошибок при автоматической проверке задач

Статистика успешных решений по компиляторам
 Кол-во
С++ Mingw-w645
Комментарий учителя