Олимпиадный тренинг

Задача . G. Феникс и одометры


В городе Огня, есть \(n\) перекрестков и \(m\) односторонних дорог: \(i\)-я дорога ведет от перекрестка \(a_i\) к \(b_i\) и имеет длину \(l_i\) миль.

Также есть \(q\) машин, которые могут передвигаться только по этим дорогам. Машина \(i\) стоит у перекрестка \(v_i\) и оборудована одометром с начальным значением \(s_i\), который увеличивается на один за каждую пройденную милю и сбрасывается в \(0\) когда достигает значения \(t_i\). Фениксу дано задание покататься на машинах по каким-то дорогам (возможно, совсем не двигаться) и вернуться к стартовому перекрестку с одометром, сброшенным в \(0\).

Для каждой машины определите, возможно ли это.

Машина может посещать одни и те же перекрестки и ездить по одним и тем же дорогам произвольное количество раз. Одометры не прекращают считать пройденное расстояние после сброса, а потому одометры можно сбрасывать произвольное количество раз.

Входные данные

В первой строке заданы два целых числа \(n\) и \(m\) (\(2 \le n \le 2 \cdot 10^5\); \(1 \le m \le 2 \cdot 10^5\)) — количество перекрестков и количество дорог, соответственно.

В каждой из следующих \(m\) строк заданы три целых числа \(a_i\), \(b_i\) и \(l_i\) (\(1 \le a_i, b_i \le n\); \(a_i \neq b_i\); \(1 \le l_i \le 10^9\)) — описание \(i\)-й дороги. Граф дорог необязательно связный. Гарантируется, что между любой парой перекрестков есть не более одной дороги в каждом направлении.

В следующей строке задано целое число \(q\) (\(1 \le q \le 2 \cdot 10^5\)) — количество машин.

В каждой из следующих \(q\) строк заданы три целых числа \(v_i\), \(s_i\) и \(t_i\) (\(1 \le v_i \le n\); \(0 \le s_i < t_i \le 10^9\)) — стартовый перекресток \(i\)-й машины, стартовое значение \(i\)-го одометра и значение, при котором \(i\)-й одометр сбрасывается, соответственно.

Выходные данные

Выведите \(q\) ответов. Если одометр \(i\)-й машины можно сбросить в \(0\) покатавшись по некоторым дорогам и вернувшись назад в \(v_i\), выведите YES. В противном случае выведите NO.

Примечание

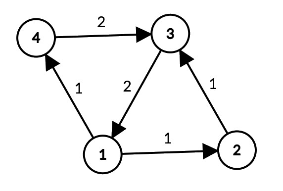
Ниже представлена иллюстрация первого примера:

В первом запросе, Феникс может проехать на машине следующем образом: \(1\) \(\rightarrow\) \(2\) \(\rightarrow\) \(3\) \(\rightarrow\) \(1\) \(\rightarrow\) \(2\) \(\rightarrow\) \(3\) \(\rightarrow\) \(1\). Одометр будет сброшен \(3\) раза, и будет показывать \(0\) к концу поездки.

Во втором примере, можно показать, что не существует способа сбросить одометр в \(0\) и при этом вернуться к пересечению \(1\).

В третьем примере, одометр уже показывает \(0\), а поэтому нет необходимости куда-то ехать.

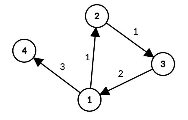
Ниже представлена иллюстрация второго примера:


Примеры
Входные данныеВыходные данные
1 4 4
1 2 1
2 3 1
3 1 2
1 4 3
3
1 1 3
1 2 4
4 0 1
YES
NO
YES
2 4 5
1 2 1
2 3 1
3 1 2
1 4 1
4 3 2
2
1 2 4
4 3 5
YES
YES

time 2000 ms
memory 256 Mb
Правила оформления программ и список ошибок при автоматической проверке задач

Статистика успешных решений по компиляторам
 Кол-во
С++ Mingw-w645
Комментарий учителя