Олимпиадный тренинг

Задача . D. MEX дерево


Вам дано дерево из \(n\) вершин, в котором вершины пронумерованы от \(0\) до \(n-1\). Для каждого \(k\) от \(0\) до \(n\) включительно вам необходимо посчитать количество неупорядоченных пар \((u,v)\), \(u \neq v\), таких, что MEX всех номеров вершин на пути от \(u\) до \(v\) равен \(k\).

MEX последовательности целых чисел равен наименьшему неотрицательному целому числу, которое в ней не встречается.

Входные данные

Первая строка содержит целое число \(t\) (\(1 \le t \le 10^4\)) — количество наборов входных данных.

Первая строка каждого набора входных данных содержит целое число \(n\) (\(2 \le n \le 2 \cdot 10^{5}\)).

Следующая \(n-1\) строка содержит описание дерева. Каждая строка содержит два целых числа \(u\) и \(v\) (\(0 \le u,v \le n-1\)), задающие ребро между \(u\) и \(v\) (\(u \neq v\)).

Гарантируется, что данные ребра образуют дерево.

Гарантируется, что сумма \(n\) по всем наборам входных данных не превосходит \(2 \cdot 10^{5}\).

Выходные данные

Для каждого набора входных данных выведите \(n+1\) целое число: число путей в дереве таких, что MEX всех номеров вершин на нем равен \(k\), для всех \(k\) от \(0\) до \(n\).

Примечание
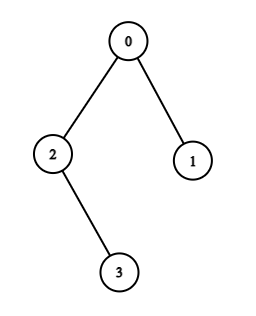
  1. В наборе входных данных \(1\):
    • Для \(k = 0\) существует только \(1\) путь из \(2\) в \(3\) с \(MEX([2, 3]) = 0\).
    • Для \(k = 1\) существует \(2\) пути. Один из \(0\) в \(2\) с \(MEX([0, 2]) = 1\), и из \(0\) в \(3\) с \(MEX([0, 2, 3]) = 1\).
    • Для \(k = 2\) существует \(1\) путь из \(0\) в \(1\) с \(MEX([0, 1]) = 2\).
    • Для \(k = 3\) существует \(1\) путь из \(1\) в \(2\) с \(MEX([1, 0, 2]) = 3\)
    • Для \(k = 4\) существует \(1\) путь из \(1\) в \(3\) с \(MEX([1, 0, 2, 3]) = 4\).
  2. В наборе входных данных \(2\):
    • Для \(k = 0\) не существует таких путей.
    • Для \(k = 1\) не существует таких путей.
    • Для \(k = 2\) существует \(1\) путь из \(0\) в \(1\) с \(MEX([0, 1]) = 2\).

Примеры
Входные данныеВыходные данные
1 2
4
0 1
0 2
2 3
2
1 0
1 2 1 1 1 
0 0 1

time 1500 ms
memory 256 Mb
Правила оформления программ и список ошибок при автоматической проверке задач

Статистика успешных решений по компиляторам
 Кол-во
С++5
Комментарий учителя