Олимпиадный тренинг

Задача . E. Вы


Вам дано дерево с \(n\) вершинами. Напомним, что дерево — это связный неориентированный граф без циклов.

Пусть \(a_1, a_2, \ldots, a_n\) — последовательность целых чисел. Выполним следующую операцию ровно \(n\) раз:

  • Выберем неудаленную вершину \(u\). Присвоим \(a_u :=\) количество неудаленных вершин, соседних с \(u\). Затем удалим вершину \(u\) вместе со всеми ребрами, концом которых она является.

Для каждого целого числа \(k\) от \(1\) до \(n\) найдите по модулю \(998\,244\,353\) количество различных последовательностей \(a_1, a_2, \ldots, a_n\), удовлетворяющих следующим условиям:

  • можно получить \(a\), выполнив вышеупомянутую операцию ровно \(n\) раз в некотором порядке.
  • \(\operatorname{gcd}(a_1, a_2, \ldots, a_n) = k\). Здесь \(\operatorname{gcd}\) означает наибольший общий делитель элементов в \(a\).
Входные данные

Первая строка содержит одно целое число \(t\) (\(1 \le t \le 10\,000\))  — количество наборов входных данных.

Первая строка каждого набора входных данных содержит одно целое число \(n\) (\(2 \le n \le 10^5\)).

Каждая из следующих \(n - 1\) строк содержит два целых числа \(u\) и \(v\) (\(1 \le u, v \le n\)), указывающих на наличие ребра между вершинами \(u\) и \(v\). Гарантируется, что заданные ребра образуют дерево.

Гарантируется, что сумма \(n\) по всем наборам входных данных не превышает \(3 \cdot 10^5\).

Выходные данные

Для каждого набора входных данных выведите в одной строке \(n\) целых чисел, где для каждого \(k\) от \(1\) до \(n\) \(k\)-е целое число обозначает ответ, когда \(\operatorname{gcd}\) равен \(k\).

Примечание

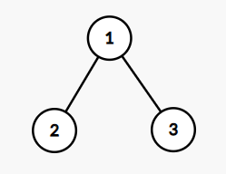
В первом наборе входных данных дерево изображено на рисунке.

  • Если мы удалим вершины в порядке \(1 \rightarrow 2 \rightarrow 3\) или \(1 \rightarrow 3 \rightarrow 2\), то полученная последовательность будет \(a = [2, 0, 0]\), которая имеет \(\operatorname{gcd}\), равный \(2\).
  • Если удалить узлы в порядке \(2 \rightarrow 1 \rightarrow 3\), то полученная последовательность будет \(a = [1, 1, 0]\), \(\operatorname{gcd}\) которой равен \(1\).
  • Если удалить узлы в порядке \(3 \rightarrow 1 \rightarrow 2\), то полученная последовательность будет \(a = [1, 0, 1]\), \(\operatorname{gcd}\) которой равен \(1\).
  • Если удалить узлы в порядке \(2 \rightarrow 3 \rightarrow 1\) или \(3 \rightarrow 2 \rightarrow 1\), то полученная последовательность будет \(a = [0, 1, 1]\), \(\operatorname{gcd}\) которой равен \(1\).

Обратите внимание, что здесь мы считаем количество различных последовательностей, а не количество различных порядков удаления узлов.


Примеры
Входные данныеВыходные данные
1 2
3
2 1
1 3
2
1 2
3 1 0
2 0

time 5000 ms
memory 256 Mb
Правила оформления программ и список ошибок при автоматической проверке задач

Статистика успешных решений по компиляторам
 Кол-во
С++ Mingw-w645
Комментарий учителя