Mocha живет в городском уезде Чжицзян. В уезде \(n+1\) поселение и \(2n-1\) ориентированная дорога.
Все дороги имеют один из двух типов:
- \(n-1\) дорога идет от поселения \(i\) к поселению \(i+1\), для всех \(1\leq i \leq n-1\).
- \(n\) дорог описываются последовательностью \(a_1,\ldots,a_n\). Если \(a_i=0\), то \(i\)-я из этих дорог идет от поселения \(i\) к поселению \(n+1\), иначе она идет от поселения \(n+1\) к поселению \(i\), для всех \(1\leq i\leq n\).
Mocha собирается в поход вместе с Taki. Чтобы поход не был скучным, они собираются посетить каждое поселение ровно один раз. Они могут начать и закончить в любых поселениях. Можете помочь составить им план похода?
Выходные данные
Для каждого набора входных данных выведите одну строку с \(n+1\) целыми числами, где \(i\)-е число — поселение, которое они должны посетить \(i\)-м по порядку. Если ответа не существует, выведите \(-1\).
Если существует несколько решений, выведите любое из них.
Примечание
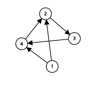
В первом наборе входных данных уезд выглядит следующим образом:

Возможные ответы: \((1 \to 4 \to 2 \to 3)\) или \((1 \to 2 \to 3 \to 4)\).
Во втором наборе входных данных уезд выглядит следующим образом:

Возможные ответы — \((4 \to 1 \to 2 \to 3)\), \((1 \to 2 \to 3 \to 4)\), \((3 \to 4 \to 1 \to 2)\) и \((2 \to 3 \to 4 \to 1)\).
| № | Входные данные | Выходные данные |
|
1
|
2
3
0 1 0
3
1 1 0
|
1 4 2 3
4 1 2 3
|