Олимпиадный тренинг

Задача . F. Прыжки по массиву


Вам задан массив целых чисел \(a\) размера \(n\) и перестановка \(p\) размера \(n\). К вам приходят \(q\) запросов трех типов:

  1. Даны числа \(l\) и \(r\). Требуется посчитать сумму чисел массива \(a\) на отрезке c \(l\) по \(r\): \(\sum\limits_{i=l}^{r} a_i\).
  2. Даны числа \(v\) и \(x\). Давайте представим \(p\) в виде ориентированного графа, у которого \(n\) вершин и \(n\) рёбер \(i \to p_i\). Пусть \(C\) — это множество вершин, которые достижимы из \(v\) в графе. Требуется прибавить число \(x\) ко всем \(a_u\) таким, что \(u\) лежит в \(C\).
  3. Даны индексы \(i\) и \(j\). Вам нужно поменять местами значения \(p_i\) и \(p_j\).
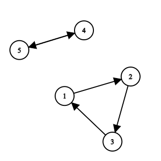
Граф, получаемый из перестановки \([2, 3, 1, 5, 4]\).

От вас требуется вывести ответы на все запросы \(1\) вида.

Входные данные

В первой строке находится единственное целое число \(n\) (\(1 \le n \le 2 \cdot 10^5\)) — размер массива и перестановки.

Во второй строке входных данных находится \(n\) целых чисел \(a_1, a_2, \ldots, a_n\) (\(-10^8 \le a_i \le 10^8\)).

В третьей строке входных данных находится \(n\) различных целых чисел \(p_1, p_2, \ldots, p_n\) (\(1 \le p_i \le n\)).

В четвертой строке находится единственное целое число \(q\) — количество запросов (\(1 \le q \le 2 \cdot 10^5\)).

В следующих \(q\) строках заданы запросы. В \(i\)-й строке находится целое число \(t_i\) (\(1 \le t_i \le 3\)) — тип запроса.

  • Если \(t_i = 1\), то в \(i\)-й строке заданы еще два целых числа: \(l\), \(r\) (\(1 \le l \le r \le n\)).
  • Если \(t_i = 2\), то в \(i\)-й строке заданы еще два целых числа: \(v\), \(x\) (\(1 \le v \le n\), \(-10^8 \le x \le 10^8\)).
  • Если \(t_i = 3\), то в \(i\)-й строке заданы еще два целых числа: \(i\), \(j\) (\(1 \le i, j \le n\)).
Выходные данные

Для каждого запроса первого типа выведите единственное целое число — ответ на запрос.

Примечание

Рассмотрим первый тест.

Граф, получаемый из изначальной перестановки.

В первом тесте \(6\) запросов.

  1. Сумма на отрезке с \(1\) по \(5\) это \(a_1 + a_2 + a_3 + a_4 + a_5 = 6 + 9 + (-5) + 3 + 0 = 13\).
  2. Из вершины \(1\) достижимы вершины \(\{1, 2, 3\}\). Получается, что после этого запроса массив \(a\) будет выглядеть так: \([7, 10, -4, 3, 0]\).
  3. Сумма на отрезке с \(1\) по \(5\) это \(a_1 + a_2 + a_3 + a_4 + a_5 = 6 + 9 + (-5) + 3 + 0 = 16\).
  4. После запроса \(p = [4, 3, 1, 5, 2]\).
    Граф, получаемый из перестановки после четвёртого запроса.
  5. Из вершины \(2\) достижимы вершины \(\{1, 2, 3, 4, 5\}\). Получается, что после этого запроса массив \(a\) будет выглядеть так: \([6, 9, -5, 2, -1]\).
  6. Сумма на отрезке с \(1\) по \(5\) это \(a_1 + a_2 + a_3 + a_4 + a_5 = 6 + 9 + (-5) + 2 + (-1) = 11\).

Примеры
Входные данныеВыходные данные
1 5
6 9 -5 3 0
2 3 1 5 4
6
1 1 5
2 1 1
1 1 5
3 1 5
2 1 -1
1 1 5
13
16
11
2 8
-15 52 -4 3 5 9 0 5
2 4 6 8 1 3 5 7
10
2 2 2
2 5 -1
1 1 8
1 1 5
1 5 8
3 1 6
2 1 50
1 1 8
2 6 -20
1 1 8
61
45
22
461
301
3 1
1
1
1
1 1 1
1

time 8000 ms
memory 512 Mb
Правила оформления программ и список ошибок при автоматической проверке задач

Статистика успешных решений по компиляторам
 Кол-во
С++ Mingw-w645
Комментарий учителя