Олимпиадный тренинг

Задача . E1. Дистанционное дерево (простая версия)


Эта версия задачи отличается от следующей только ограничением на \(n\).

Дерево — это связный неориентированный граф без циклов. Взвешенное дерево — это такое дерево, в котором у каждого ребра есть некоторый вес. Расстояние между вершинами — минимальная сумма весов на пути между ними.

Дано взвешенное дерево c \(n\) вершинами, у каждого ребра вес \(1\). Введём \(d(v)\) как расстояние между вершиной \(1\) и вершиной \(v\).

Пусть \(f(x)\) равно минимально возможному значению \(\max\limits_{1 \leq v \leq n} \ {d(v)}\), если можно временно добавить одно ребро веса \(x\) между любыми двумя вершинами \(a\) и \(b\) \((1 \le a, b \le n)\). Обратите внимание, что после этой операции граф уже не является деревом.

Для каждого целого числа \(x\) от \(1\) до \(n\) найдите \(f(x)\).

Входные данные

Первая строка содержит одно целое число \(t\) (\(1 \le t \le 10^4\)) — количество наборов входных данных.

Первая строка каждого набора входных данных содержит одно целое число \(n\) (\(2 \le n \le 3000\)).

Каждая из следующих \(n−1\) строк содержит два целых числа \(u\) и \(v\) (\(1 \le u,v \le n\)), указывающих на наличие ребра между вершинами \(u\) и \(v\). Гарантируется, что заданные ребра образуют дерево.

Гарантируется, что сумма \(n\) по всем наборам входных данных не превышает \(3000\).

Выходные данные

Для каждого набора входных данных выведите в одной строке \(n\) целых чисел, \(x\)-е из которых равно \(f(x)\) для всех \(x\) от \(1\) до \(n\).

Примечание
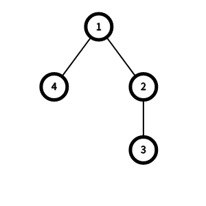
В первом наборе входных данных:
  • Для \(x = 1\) мы можем добавить ребро между вершинами \(1\) и \(3\), после чего \(d(1) = 0\) и \(d(2) = d(3) = d(4) = 1\), поэтому \(f(1) = 1\).
  • Для \(x \ge 2\), вне зависимости от того, какое ребро мы добавим, \(d(1) = 0\), \(d(2) = d(4) = 1\) и \(d(3) = 2\), поэтому \(f(x) = 2\).

Примеры
Входные данныеВыходные данные
1 3
4
1 2
2 3
1 4
2
1 2
7
1 2
1 3
3 4
3 5
3 6
5 7
1 2 2 2 
1 1 
2 2 3 3 3 3 3

time 2000 ms
memory 512 Mb
Правила оформления программ и список ошибок при автоматической проверке задач

Статистика успешных решений по компиляторам
 Кол-во
С++ Mingw-w645
Комментарий учителя