Олимпиадный тренинг

Задача . F. Дерево и k-подмножества


Вам дано дерево \(G\) из \(n\) вершин, а также целое число \(k\). Вершины дерева пронумерованы от \(1\) до \(n\).

Для некоторой вершины \(r\) и подмножества \(S\) вершин дерева \(G\) такого, что \(|S| = k\), определим \(f(r, S)\) как размер наименьшего корневого поддерева, содержащего все вершины \(S\) при условии, что корнем дерева является вершина \(r\). Множество вершин \(T\) называется корневым поддеревом, если все вершины в \(T\) связны и для любой вершины в \(T\) все ее потомки тоже принадлежат \(T\).

Вам нужно вычислить сумму \(f(r, S)\) по всем различным комбинациям вершины \(r\) и подмножества \(S\), где \(|S| = k\). Формально, вычислите следующее: \(\)\sum_{r \in V} \sum_{S \subseteq V, |S| = k} f(r, S),\(\) где \(V\) — множество вершин дерева \(G\).

Выведите ответ по модулю \(10^9 + 7\).

Входные данные

Первая строка содержит два целых числа \(n\) и \(k\) (\(3 \le n \le 2 \cdot 10^5\), \(1 \le k \le n\)).

Каждая из следующих \(n - 1\) строк содержит два целых числа \(x\) и \(y\) (\(1 \le x, y \le n\)), обозначающих ребро между вершинами \(x\) и \(y\).

Гарантируется, что данные ребра образуют дерево.

Выходные данные

Выведите ответ по модулю \(10^9 + 7\).

Примечание

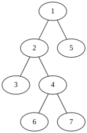
Дерево во втором примере показано ниже:

Всего в этом дереве \(21\) подмножество вершин размера \(2\). А именно, \(\)S \in \left\{\{1, 2\}, \{1, 3\}, \{1, 4\}, \{1, 5\}, \{1, 6\}, \{1, 7\}, \{2, 3\}, \{2, 4\}, \{2, 5\}, \{2, 6\}, \{2, 7\}, \{3, 4\}, \{3, 5\}, \{3, 6\}, \{3, 7\}, \{4, 5\}, \{4, 6\}, \{4, 7\}, \{5, 6\}, \{5, 7\}, \{6, 7\} \right\}.\(\) Так как в дереве \(7\) вершин, \(1 \le r \le 7\). Нужно найти сумму \(f(r, S)\) по всем парам \(r\) и \(S\).

Ниже перечислены значения \(f(r, S)\) для некоторых комбинаций \(r\) и \(S\).

  • \(r = 1\), \(S = \{3, 7\}\). Значение \(f(r, S)\) равно \(5\), а соответствующее поддерево равно \(\{2, 3, 4, 6, 7\}\).
  • \(r = 1\), \(S = \{5, 4\}\). Значение \(f(r, S)\) равно \(7\), а соответствующее поддерево равно \(\{1, 2, 3, 4, 5, 6, 7\}\).
  • \(r = 1\), \(S = \{4, 6\}\). Значение \(f(r, S)\) равно \(3\), а соответствующее поддерево равно \(\{4, 6, 7\}\).

Примеры
Входные данныеВыходные данные
1 3 2
1 2
1 3
25
2 7 2
1 2
2 3
2 4
1 5
4 6
4 7
849

time 3000 ms
memory 512 Mb
Правила оформления программ и список ошибок при автоматической проверке задач

Статистика успешных решений по компиляторам
 Кол-во
С++ Mingw-w645
Комментарий учителя