Олимпиадный тренинг

Задача . F. Расстояние до пути


Вам задано дерево, состоящее из \(n\) вершин. Первоначально в каждой вершине записано число \(0\).

Вам нужно обработать \(m\) запросов двух видов:

  1. Вам задан номер вершины \(v\). Выведите значение в данной вершине \(v\).
  2. Вам заданы номера вершин \(u\) и \(v\), и значения \(k\) и \(d\) (\(d \le 20\)). Вам нужно прибавить \(k\) к значению каждой вершины, расстояние от которой до пути из \(u\) в \(v\) не превосходит \(d\).

Расстояние между двумя вершинами \(x\) и \(y\) равно количеству ребер на пути из \(x\) в \(y\). Например, расстояние от \(x\) до самой \(x\) равно \(0\).

Расстояние от вершины \(v\) до некоторого пути из \(x\) в \(y\) равно минимуму из расстояний от \(v\) до любой вершины на пути из \(x\) в \(y\).

Входные данные

В первой строке задано одно целое число \(n\) (\(2 \le n \le 2 \cdot 10^5\)) — количество вершин в дереве.

В следующих \(n - 1\) строках заданы ребра дерева — по одному в строке. В каждой строке заданы два целых числа \(u\) и \(v\) (\(1 \le u, v \le n\); \(u \neq v\)) — соответствующее ребро дерева. Гарантируется, что заданные ребра образуют дерево.

В следующей строке задано одно целое число \(m\) (\(1 \le m \le 2 \cdot 10^5\)) — количество запросов.

В следующих \(m\) строках заданы сами запросы — по одному в строке. Каждый запрос имеет один из следующих типов:

  • \(1\) \(v\) (\(1 \le v \le n\)) — запрос первого типа;
  • \(2\) \(u\) \(v\) \(k\) \(d\) (\(1 \le u, v \le n\); \(1 \le k \le 1000\); \(0 \le d \le 20\)) — запрос второго типа.

Дополнительное ограничение на входные данные: среди запросов есть хотя бы один запрос первого типа.

Выходные данные

Для каждого запроса первого типа выведите текущее значение в заданной вершине.

Примечание

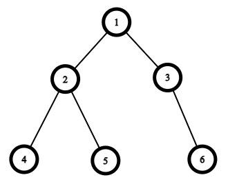
Дерево из первого примера:

Описания некоторых запросов:
  • «\(2\) \(4\) \(5\) \(10\) \(2\)»: попадающие под прибавление вершины — это \(\{4, 2, 5, 1, 3\}\);
  • «\(2\) \(1\) \(1\) \(10\) \(20\)» и «\(2\) \(6\) \(6\) \(10\) \(20\)»: все вершины попадают под прибавление, так как расстояние до \(1\) (\(6\)) меньше \(20\) у любой вершины;
  • «\(2\) \(3\) \(2\) \(10\) \(0\)»: попадающие под прибавление вершины — это \(\{3, 1, 2\}\);
  • «\(2\) \(5\) \(2\) \(10\) \(1\)»: попадающие под прибавление вершины — это \(\{5, 2, 4, 1\}\).

Примеры
Входные данныеВыходные данные
1 6
1 2
1 3
4 2
5 2
3 6
14
2 4 5 10 2
1 3
1 6
2 1 1 10 20
2 6 6 10 20
1 3
2 3 2 10 0
2 5 2 10 1
1 1
1 2
1 3
1 4
1 5
1 6
10
0
30
50
50
40
40
40
20

time 4000 ms
memory 512 Mb
Правила оформления программ и список ошибок при автоматической проверке задач

Статистика успешных решений по компиляторам
 Кол-во
С++ Mingw-w645
Комментарий учителя