Олимпиадный тренинг

Задача . E. Косия и дерево


У Ими есть неориентированное дерево из \(n\) вершин, ребра которого пронумерованы от \(1\) до \(n-1\). \(i\)-е ребро соединят вершины \(u_i\) и \(v_i\). Также на дереве находятся \(k\) бабочек. Изначально \(i\)-я бабочка находится в вершине \(a_i\). Все значения \(a\) попарно различны.

Косия играет в игру следующим образом.

  • Для \(i = 1, 2, \dots, n - 1\) Косия выбирает одно из направлений \(i\)-го ребра (\(u_i \rightarrow v_i\) или \(v_i \rightarrow u_i\)) с одинаковой вероятностью.
  • Для \(i = 1, 2, \dots, n - 1\), если в начальной вершине \(i\)-го ребра есть бабочка, а в конечной вершине нет бабочки, то эта бабочка перелетает в конечную вершину. Обратите внимание, что операции выполняются для ребер \(1, 2, \dots, n - 1\) по порядку, а не одновременно.
  • Косия выбирает две бабочки из \(k\) бабочек с равной вероятностью для всех \(\frac{k(k-1)}{2}\) способов выбрать две бабочки, затем она вычисляет расстояние\(^\dagger\) между двумя вершинами, и объявляет это своим счетом.

Косия хочет, чтобы вы вычислили математическое ожидание ее счета по модулю \(998\,244\,353^\ddagger\).

\(^\dagger\) Расстоянием между двумя вершинами в дереве называется количество ребер на (единственном) простом пути между ними.

\(^\ddagger\) Формально, пусть \(M = 998\,244\,353\). Можно показать, что ответ может быть представлен в виде несократимой дроби \(\frac{p}{q}\), где \(p\) и \(q\) — целые числа, и \(q \not \equiv 0 \pmod{M}\). Выведите целое число, равное \(p \cdot q^{-1} \bmod M\). Другими словами, выведите такое целое число \(x\), что \(0 \le x < M\) и \(x \cdot q \equiv p \pmod{M}\).

Входные данные

Первая строка содержит два целых числа \(n\) и \(k\) (\(2 \leq k \leq n \leq 3 \cdot {10}^5\)) — размер дерева и количество бабочек.

Вторая строка содержит \(k\) целых чисел \(a_1, a_2, \dots, a_k\) (\(1 \leq a_i \leq n\)) — начальные позиции бабочек. Гарантируется, что все позиции попарно различны.

\(i\)-я из следующих \(n − 1\) строк содержит два целых числа \(u_i\), \(v_i\) (\(1 \leq u_i, v_i \leq n\), \(u_i \neq v_i\)) — вершины, которые соединяет \(i\)-е ребро.

Гарантируется, что заданные ребра образуют дерево.

Выходные данные

Выведите одно целое число — математическое ожидание счета Косии по модулю \(998\,244\,353\).

Примечание

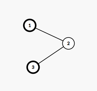
Дерево из первого примера показано ниже. Вершины с бабочками отмечены жирным.

Существуют только \(2\) бабочки, поэтому выбор бабочек фиксирован. Рассмотрим следующие \(4\) случая:

  • Ориентация ребер \(1 \rightarrow 2\) и \(2 \rightarrow 3\): бабочка из вершины \(1\) перемещается в вершину \(2\), а бабочка в вершине \(3\) не двигается. Расстояние между вершинами \(2\) и \(3\) равно \(1\).
  • Ориентация ребер \(1 \rightarrow 2\) и \(3 \rightarrow 2\): бабочка из вершины \(1\) перемещается в вершину \(2\), а бабочка в вершине \(3\) не двигается, потому что вершина \(2\) занята. Расстояние между вершинами \(2\) и \(3\) равно \(1\).
  • Ориентация ребер \(2 \rightarrow 1\) и \(2 \rightarrow 3\): бабочки в вершинах \(1\) и \(3\) не двигаются. Расстояние между вершинами \(1\) и \(3\) равно \(2\).
  • Ориентация ребер \(2 \rightarrow 1\) и \(3 \rightarrow 2\): бабочка в вершине \(1\) не двигается, а бабочка из вершины \(3\) перемещается в вершину \(2\). Расстояние между вершинами \(1\) и \(2\) равно \(1\).

Таким образом, математическое ожидание счета Косии равно \(\frac {1+1+2+1} {4} = \frac {5} {4}\), что есть \(748\,683\,266\) по модулю \(998\,244\,353\).

Дерево из второго примера показано ниже. Вершины с бабочками отмечены жирным. Математическое ожидание счета Косии равно \(\frac {11} {6}\), что есть \(831\,870\,296\) по модулю \(998\,244\,353\).


Примеры
Входные данныеВыходные данные
1 3 2
1 3
1 2
2 3
748683266
2 5 3
3 4 5
1 2
1 3
2 4
2 5
831870296

time 3000 ms
memory 256 Mb
Правила оформления программ и список ошибок при автоматической проверке задач

Статистика успешных решений по компиляторам
 Кол-во
С++ Mingw-w645
Комментарий учителя