Олимпиадный тренинг

Задача . B1. LuoTianyi и летающие острова (простая версия)


Это простая версия задачи. Единственное отличие в том, что в этой версии \(k\le\min(n,3)\). Вы можете делать взломы, только если обе версии задачи сданы.

Chtholly и летающие острова.

LuoTianyi сейчас живёт в мире с \(n\) летающими островами. Летающие острова соединены \(n-1\) ненаправленной воздушной дорогой, и из любого из двух летающих островов можно добраться до другого, путешествуя по воздушным дорогам. Это означает, что \(n\) летающих островов образуют дерево.

Однажды, LuoTianyi захотела встретиться со своими друзьями: Chtholly, Nephren, William, .... Всего она хочет встретиться с \(k\) людьми. Она не знает их точного расположения, но она знает, что они находятся на попарно различных островах. Она называет остров хорошим тогда и только тогда, когда сумма расстояний\(^{\dagger}\) от него до островов с \(k\) людьми минимально возможная среди всех \(n\) островов.

Сейчас LuoTianyi хочет узнать, если \(k\) человек случайным образом находятся в \(k\) различных из \(n\) островов, чему равно математическое ожидание количества хороших островов? Вам нужно сказать ей математическое ожидание по модулю \(10^9+7\).

\(^{\dagger}\)Расстоянием между двумя островами называется минимальное количество воздушных дорог, по которым нужно пройти, чтобы перейти с одного острова на другой.

Входные данные

Первая строка содержит два целых числа \(n\) и \(k\) (\(1\le k \le \min(n,3), 1\le n \le 2\cdot 10^5\)) — количество островов и людей соответственно.

Следующие \(n−1\) строка описывают воздушные дороги. \(i\)-я из них содержит два целых числа \(u_i\) и \(v_i\) (\(1 \le u_i,v_i \le n, u_i \neq v_i\)) — острова, соединённые \(i\)-й воздушной дорогой.

Гарантируется, что воздушные дороги образуют дерево.

Выходные данные

Выведите единственное целое число — математическое ожидание количества хороших островов по модулю \(10^9 + 7\).

Формально, пусть \(M = 10^9 + 7\). Можно показать, что ответ может быть представлен в виде несократимой дроби \(\frac{p}{q}\), где \(p\) и \(q\) — целые числа, и \(q \not \equiv 0\) (\(\operatorname{mod} M\)). Выведите целое число, равное \(p \cdot q^{-1}\) \(\operatorname{mod} M\). Другими словами, выведите такое целое число \(x\), что \(0 \le x < M\) и \(x \cdot q \equiv p\) (\(\operatorname{mod} M\)).

Примечание

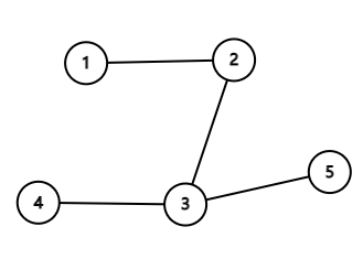
В первом примере дороги образуют следующее дерево:

Если люди находятся на островах \(1\) и \(2\), тогда острова \(1\) и \(2\) являются хорошими.

Сумма расстояний от острова \(1\) или \(2\) до всех людей равна \(1+0=1\), что минимально. В это время сумма расстояний от острова \(3\) до всех людей равна \(2+1=3\), что больше \(1\).

Таким же образом, когда люди находятся на островах \(1\) и \(3\), тогда острова \(1,2\) и \(3\) являются хорошими.

Когда люди находятся на островах \(1\) и \(4\), тогда острова \(1,2,3\) и \(4\) являются хорошими.

Когда люди находятся на островах \(2\) и \(3\), тогда острова \(2\) и \(3\) являются хорошими.

Когда люди находятся на островах \(2\) и \(4\), тогда острова \(2,3\) и \(4\) являются хорошими.

Когда люди находятся на островах \(3\) и \(4\), тогда острова \(3\) и \(4\) являются хорошими.

Поэтому математическое ожидание количества хороших островов равно \(\frac{16}{6}\), что равняется \(666666674\) по модулю \(10^9+7\).

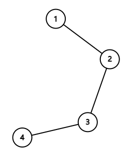
Во втором примере воздушные дороги образуют следующее дерево:

Всегда есть единственный хороший остров, поэтому математическое ожидание равно \(1\).


Примеры
Входные данныеВыходные данные
1 4 2
1 2
2 3
3 4
666666674
2 5 1
1 2
2 3
3 4
3 5
1

time 2000 ms
memory 256 Mb
Правила оформления программ и список ошибок при автоматической проверке задач

Статистика успешных решений по компиляторам
 Кол-во
С++ Mingw-w643
Комментарий учителя