Олимпиадный тренинг

Задача . E. LuoTianyi и Картридж


LuoTianyi смотрит аниме Made in Abyss. Она считает, что создание Картриджа является очень интересным занятием. Чтобы более четко описать процесс создания Картриджа, она абстрагируется от исходной задачи и даёт вам следующую.

Вам дано дерево \(T\), состоящее из \(n\) вершин. Каждая вершина имеет значения \(a_i\) и \(b_i\), а каждое ребро имеет значения \(c_j\) и \(d_j\).

Теперь вам нужно построить дерево \(T'\) следующим образом:

  • Сначала выберите \(p\) вершин из \(T\) (\(p\) — число, выбранное вами самостоятельно) в качестве множества вершин \(S'\) в \(T'\);
  • Затем последовательно выберите \(p-1\) ребро из \(T\) по одному (нельзя выбирать одно ребро более одного раза);
  • Пусть вы выбрали \(j\)-е ребро, и оно соединяет вершины \(x_j\) и \(y_j\) и имеет значения \((c_j,d_j)\). Тогда вы можете выбрать две вершины \(u\) и \(v\) в \(S'\), для которых ребро \((x_j,y_j)\) лежит на простом пути из \(u\) в \(v\) в \(T\), и соединить \(u\) и \(v\) в \(T'\) ребром со значениями \((c_j,d_j)\) (\(u\) и \(v\) не должны содержаться в одной компоненте связности ранее в \(T'\)).
Дерево с тремя вершинами, \(\min(A,C)=1,B+D=7\), стоимость равна \(7\).
Выбрали вершины \(2\) и \(3\) как \(S'\), использовали ребро \((1,2)\) с \(c_j = 2\) и \(d_j = 1\), чтобы соединить эти вершины, теперь \(\min(A,C)=2,B+D=4\), стоимость равна \(8\).

Пусть \(A\) — минимум из значений \(a_i\) в \(T'\), и \(C\) — минимум из значений \(c_i\) в \(T'\). Пусть \(B\) — сумма значений \(b_i\) в \(T'\), и \(D\) — сумма значений \(d_i\) в \(T'\). Определим \(\min(A, C) \cdot (B + D)\) как стоимость \(T'\). Вам нужно найти максимально возможную стоимость \(T'\).

Входные данные

Первая строка содержит одно целое число \(n\) (\(3\le n \le 2\cdot 10^5\)) — количество вершин в дереве \(T\).

Вторая строка содержит \(n\) целых чисел \(a_1, a_2, \ldots, a_n\) (\(1\le a_i\le 2\cdot 10^5\)), где \(i\)-е целое число обозначает значение \(a_i\) у \(i\)-й вершины.

Третья строка содержит \(n\) целых чисел \(b_1, b_2, \ldots, b_n\) (\(1\le b_i\le 2\cdot 10^5\)), где \(i\)-е целое число обозначает значение \(b_i\) у \(i\)-й вершины.

Далее следует \(n-1\) строка, \(j\)-я из которых содержит четыре целых числа \(x_j,y_j,c_j,d_j\) (\(1\le x_j,y_j\le n,1\le c_j,d_j\le 2\cdot 10^5\)), представляющих ребро \((x_j,y_j)\) и его значения \(c_j\) и \(d_j\) соответственно. Гарантируется, что рёбра образуют дерево.

Выходные данные

Выведите единственное целое число — максимальное возможную стоимость \(T'\).

Примечание

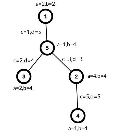
Дерево из первого примера изображено в условии.

Дерево из второго примера изображено ниже:

\(A = 1, B = 18, C = 1, D = 17\), поэтому стоимость равна \(\min(1,1) \cdot (18 + 17) = 35\).


Примеры
Входные данныеВыходные данные
1 3
1 2 2
1 1 2
1 2 2 1
1 3 1 2
8
2 5
2 4 2 1 1
2 4 4 4 4
2 5 3 3
3 5 2 4
4 2 5 5
5 1 1 5
35
3 6
5 7 10 7 9 4
6 9 7 9 8 5
2 1 5 1
3 2 2 4
4 3 6 3
5 1 7 4
6 5 6 8
216
4 5
1000 1000 1 1000 1000
1000 1000 1 1000 1000
1 2 1 1
2 3 1000 1000
3 4 1000 1000
3 5 1000 1000
7000000

time 3000 ms
memory 1024 Mb
Правила оформления программ и список ошибок при автоматической проверке задач

Статистика успешных решений по компиляторам
 Кол-во
С++ Mingw-w643
Комментарий учителя