Олимпиадный тренинг

Задача . A. Copil Copac рисует деревья


Copil Copac получил список из \(n-1\) ребра, описывающих дерево на \(n\) вершинах. Он решил нарисовать его, используя следующий алгоритм:

  • Шаг \(0\): Рисует первую вершину (вершину \(1\)). Переходит к шагу \(1\).
  • Шаг \(1\): Для каждого ребра из входных данных в порядке ввода: если ребро соединяет уже нарисованную вершину \(u\) с не нарисованной вершиной \(v\), он рисует \(v\) и ребро. После прохода по всем рёбрам он переходит к шагу \(2\).
  • Шаг \(2\): Если все вершины нарисованы, завершает алгоритм. Иначе переходит к шагу \(1\).

Количество проходов определяется как количество раз, которое Copil Copac выполняет шаг \(1\).

Найдите количество проходов, необходимых Copil Copac для рисования дерева.

Входные данные

Каждый тест содержит несколько наборов входных данных. В первой строке находится одно целое число \(t\) (\(1 \leq t \leq 10^4\)) — количество наборов входных данных. Затем следует описание наборов.

Первая строка каждого набора содержит одно целое число \(n\) (\(2 \le n \le 2 \cdot 10^5\)) — количество вершин дерева.

Следующие \(n - 1\) строк каждого набора содержат по два целых числа \(u_i\) и \(v_i\) (\(1 \le u_i, v_i \le n\), \(u_i \neq v_i\)) — концы ребра \((u_i,v_i)\), которое является \(i\)-м ребром в списке. Гарантируется, что заданные ребра образуют дерево.

Гарантируется, что сумма \(n\) по всем наборам входных не превышает \(2 \cdot 10^5\).

Выходные данные

Для каждого набора входных данных выведите количество проходов, необходимых Copil Copac для рисования дерева.

Примечание

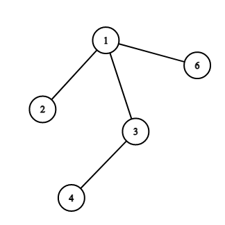
В первом наборе входных данных:

После первого прохода дерево будет выглядеть так:

После второго прохода:

Таким образом, Copil Copac нужно \(2\) прохода, чтобы нарисовать дерево.


Примеры
Входные данныеВыходные данные
1 2
6
4 5
1 3
1 2
3 4
1 6
7
5 6
2 4
2 7
1 3
1 2
4 5
2
3

time 3000 ms
memory 256 Mb
Правила оформления программ и список ошибок при автоматической проверке задач

Статистика успешных решений по компиляторам
 Кол-во
С++ Mingw-w643
Комментарий учителя