Олимпиадный тренинг

Задача . D. Яблоня


У Тимофея в саду растёт яблоня, она представляет собой корневое дерево из \(n\) вершин с корнем в вершине \(1\) (вершины пронумерованы от \(1\) от \(n\)). Деревом называется связный граф без циклов, петель и кратных ребер.

Это дерево очень необычное — оно растёт корнем вверх. Впрочем, в этом нет ничего необычного для деревьев в программировании.

Яблоня достаточно молодая, поэтому на ней вырастет всего два яблока. Яблоки вырастут в определённых вершинах (эти вершины могу совпадать). После того как яблоки вырастут, Тимофей начнёт трясти яблоню, пока яблоки не упадут. Каждый раз, когда Тимофей трясёт яблоню, с каждым из яблок происходит следующее:

Пусть яблоко сейчас находится в вершине \(u\).

  • Если у вершины \(u\) есть ребёнок, то яблоко перемещается в него (если таких вершин несколько, то яблоко может переместиться в любую из них).
  • Иначе яблоко падает с дерева.

Можно показать, что через конечное время оба яблока упадут с дерева.

У Тимофея есть \(q\) предположений, в каких вершинах могут вырасти яблоки. Он предполагает, что яблоки могут вырасти в вершинах \(x\) и \(y\), и хочет узнать количество пар вершин (\(a\), \(b\)), с которых яблоки могут упасть с дерева, где \(a\) — вершина, с которой упадёт яблоко из вершины \(x\), \(b\) — вершина, с которой упадёт яблоко из вершины \(y\). Помогите ему это сделать.

Входные данные

В первой строке дано число \(t\) (\(1 \leq t \leq 10^4\)) — количество наборов входных данных.

В первой строке каждого набора входных данных даны числа \(n\) (\(2 \leq n \leq 2 \cdot 10^5\)) — количество вершин в яблоне.

Далее следует \(n - 1\) строка, описывающая дерево. В \(i\)-й из них даны числа \(u_i\) и \(v_i\) (\(1 \leq u_i, v_i \leq n\), \(u_i \ne v_i\)) — ребро в дереве.

В следующей строке дано единственное целое число \(q\) (\(1 \leq q \leq 2 \cdot 10^5\)) — количество предположений Тимофея.

Далее следует \(q\) строк, описывающих предположения Тимофея. В \(i\)-й строке даны числа \(x_i\) и \(y_i\) (\(1 \leq x_i, y_i \leq n\)) — предполагаемые вершины, на которых вырастут яблоки.

Гарантируется, что сумма \(n\) по всем наборам входных данных не превышает \(2 \cdot 10^5\). Аналогично, сумма \(q\) по всем наборам входных данных не превышает \(2 \cdot 10^5\).

Выходные данные

Для каждого запроса Тимофея выведите количество упорядоченных пар вершин, с которых яблоки могут упасть с дерева, если предположение окажется верным, в отдельной строке.

Примечание

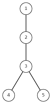
В первом примере:

  • Для первого запроса существует две возможные пары вершин, с которых яблоки могут упасть: \((4, 4), (5, 4)\).
  • Для второго запроса также существует две пары: \((5, 4), (5, 5)\).
  • Для третьего запроса есть всего одна пара: \((4, 4)\).
  • Для четвертого запроса существует \(4\) пары: \((4, 4), (4, 5), (5, 4), (5, 5)\).
Дерево из первого примера.

Во втором примере для первого предположения есть \(4\) возможных пар вершин, с которых могут упасть яблоки: \((2, 3), (2, 2), (3, 2), (3, 3)\). Для второго запроса есть всего одна возможная пара: \((2, 3)\). Для третьего запроса есть две пары: \((3, 2), (3, 3)\).


Примеры
Входные данныеВыходные данные
1 2
5
1 2
3 4
5 3
3 2
4
3 4
5 1
4 4
1 3
3
1 2
1 3
3
1 1
2 3
3 1
2
2
1
4
4
1
2
2 2
5
5 1
1 2
2 3
4 3
2
5 5
5 1
5
3 2
5 3
2 1
4 2
3
4 3
2 1
4 2
1
2
1
4
2

time 4000 ms
memory 512 Mb
Правила оформления программ и список ошибок при автоматической проверке задач

Статистика успешных решений по компиляторам
 Кол-во
С++ Mingw-w643
Комментарий учителя