Олимпиадный тренинг

Задача . G. Подсчет графов


Дано дерево, состоящее из \(n\) вершин. Дерево — это связный неориентированный граф без циклов. Каждое ребро дерева имеет свой вес, \(w_i\).

Ваша задача — подсчитать количество различных графов, для которых одновременно выполняются четыре условия:

  1. В графе нет петель и кратных ребер.
  2. Веса на ребрах графа целые числа и не превышают \(S\).
  3. Граф имеет ровно одно минимальное остовное дерево.
  4. Минимальное остовное дерево графа является заданным деревом.

Два графа считаются различными, если их наборы рёбер различны с учётом весов рёбер.

Ответ может быть большим, выведите его по модулю \(998244353\).

Входные данные

Первая строка содержит одно целое число \(t\) (\(1\le t\le 10^4\)) — количество наборов входных данных.

Первая строка каждого набора содержит два целых числа \(n\) и \(S\) (\(2 \le n \le 2 \cdot 10^5, 1\le S\le 10^9\)) — количество вершин и верхняя граница весов.

Затем следуют \(n-1\) строк, описывающих дерево, \(i\)-я строка содержит три целых числа \(u_i\), \(v_i\) и \(w_i\) (\(1\le u_i,v_i\le n, u_i \ne v_i, 1\le w_i\le S\)) — ребро в дереве с весом \(w_i\).

Гарантируется, что сумма \(n\) для всех тестов не превышает \(2\cdot 10^5\).

Выходные данные

Для каждого теста выведите количество различных графов, удовлетворяющих условиям, по модулю \(998244353\).

Примечание

В первом примере существует единственный граф, который и является заданным деревом.

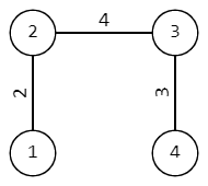
Во втором примере заданное дерево выглядит так:

Ниже изображены все возможные графы для второго примера, красным цветом выделено минимальное остовное дерево:

Примеры
Входные данныеВыходные данные
1 4
2 5
1 2 4
4 5
1 2 2
2 3 4
3 4 3
5 6
1 2 3
1 3 2
3 4 6
3 5 1
10 200
1 2 3
2 3 33
3 4 200
1 5 132
5 6 1
5 7 29
7 8 187
7 9 20
7 10 4
1
8
80
650867886

time 2000 ms
memory 256 Mb
Правила оформления программ и список ошибок при автоматической проверке задач

Статистика успешных решений по компиляторам
 Кол-во
С++ Mingw-w643
Комментарий учителя