Дерево — связный граф без циклов. Можно показать, что любое дерево из \(n\) вершин имеет ровно \(n - 1\) ребро.
Лист — вершина в дереве, из которой выходит ровно одно ребро.
Расстояние между двумя вершинами \(u\) и \(v\) в дереве — минимальное количество рёбер, которое нужно пройти, чтобы из вершины \(u\) прийти в вершину \(v\).
У Лёши скоро день рождения, и Тимофею хотелось бы подарить ему дерево из \(n\) вершин. Однако Лёша очень капризный мальчик. Каждый день на протяжении \(q\) дней он будет выбирать целое число, обозначим выбранное в \(i\)-й день число \(d_i\). Если в \(i\)-й день в дереве не будет двух листов на расстоянии ровно \(d_i\), то Лёша будет разочарован.
Тимофей решил подарить Лёше конструктор, чтобы он сам мог менять своё дерево, как ему хочется. Тимофей знает, что Лёша ещё и ленив (ужас, а не человек), поэтому в начале каждого дня он может выполнить не более одной операции следующего вида:
- Выбрать вершины \(u\), \(v_1\) и \(v_2\), такие, что между \(u\) и \(v_1\) есть ребро, а между \(u\) и \(v_2\) нет ребра. После этого удалить ребро между \(u\) и \(v_1\) и добавить ребро между \(u\) и \(v_2\). Эту операцию нельзя выполнить, если после неё граф перестанет быть деревом.
Чудесным образом Тимофею удалось узнать все \(d_i\). После этого его посетила ещё одна гениальная мысль — на всякий случай сделать инструкцию к набору, при этом такую, чтобы Лёша не был разочарован.
Тимофей не такой ленивый, как Лёша, но когда он увидел число \(n\), у него резко пропало желание разрабатывать инструкцию и придумывать изначальное дерево, поэтому он поручил эту задачу вам. Можно показать, что дерево и последовательность операций, удовлетворяющие описанным условиям, всегда существуют.

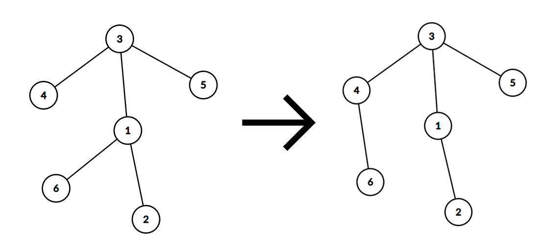
Вот пример операции, где были выбраны вершины: \(u\) — \(6\), \(v_1\) — \(1\), \(v_2\) — \(4\).
Выходные данные
Для каждого набора входных данных сначала выведите \(n - 1\) строку с описанием рёбер дерева. Если вы хотите, чтобы в дереве было ребро между вершинами \(u\) и \(v\), то среди этих \(n - 1\) строк должна быть строка \(v\) \(u\) или \(u\) \(v\).
В следующих \(q\) строках выведите по три целых числа \(u\) \(v_1\) \(v_2\) — описание операций. Если Лёше не нужно выполнять операцию, выведите \(-1\) \(-1\) \(-1\).