Олимпиадный тренинг

Задача . E. Тензор


Это интерактивная задача.

Вам дано целое число \(n\).

Жюри загадало ориентированный граф с \(n\) вершинами (пронумерованными от \(1\) до \(n\)) и с некоторым количеством рёбер. Дополнительно известно, что:

  • Граф содержит рёбра только вида \(i \leftarrow j\), где \(1 \le i < j \le n\).
  • Для любых трёх вершин \(1 \le i < j < k \le n\) верно хотя бы одно из следующего\(^\dagger\):
    • Вершина \(i\) достижима из вершины \(j\), или
    • Вершина \(i\) достижима из вершины \(k\), или
    • Вершина \(j\) достижима из вершины \(k\).

Вы хотите покрасить каждую вершину графа либо в белый, либо в чёрный цвет так, чтобы для любых двух вершин \(i\) и \(j\) (\(1 \le i < j \le n\)) одного цвета вершина \(i\) была достижима из вершины \(j\).

Для этого вы можете делать запросы следующего вида:

  • ? i j — достижима ли вершина \(i\) из вершины \(j\) (\(1 \le i < j \le n\))?

Найдите любую подходящую раскраску вершин графа за не более чем \(2 \cdot n\) запросов. Можно доказать, что такая раскраска всегда существует.

Примечание: интерактор не является адаптивным, то есть граф фиксируется до выполнения каких-либо запросов.

\(^\dagger\) Вершина \(a\) достижима из вершины \(b\) если в графе существует путь из вершины \(b\) в вершину \(a\).

Входные данные

Каждый тест состоит из нескольких наборов входных данных. В первой строке находится одно целое число \(t\) (\(1 \le t \le 1000\)) — количество наборов входных данных. Далее следует описание наборов входных данных.

Единственная строка каждого набора входных данных содержит единственное целое число \(n\) (\(3 \le n \le 100\)) — количество вершин в графе.

Гарантируется, что сумма \(n\) по всем наборам входных данных не превышает \(1000\).

Протокол взаимодействия

Взаимодействие для каждого набора входных данных начинается с чтения целого числа \(n\).

Для формирования запроса выведите «? i j» без кавычек (\(1 \le i < j \le n\)). Если вершина \(i\) достижима из вершины \(j\), вы получите в ответ YES. Иначе, вы получите в ответ NO.

Если вместо ответа или допустимого значения \(n\) вы получите целое число \(-1\), то это означает, что ваша программа сделала некорректный запрос, превысила лимит запросов или дала неверный ответ на предыдущем наборе входных данных. При получении вердикта «Неправильный ответ» ваша программа должна немедленно завершиться. В противном случае можно получить произвольный вердикт, поскольку решение будет продолжать считывать данные из закрытого потока.

Когда вы будете готовы дать окончательный ответ, выведите «! \(c_1 \ c_2 \ \ldots \ c_n\)» без кавычек — раскраска вершин графа, где \(c_i = 0\), если вершина чёрная, и \(c_i = 1\), если вершина белая. После решения одного набора входных данных программа должна сразу же переходить к следующему. После решения всех наборов входных данных программа должна быть немедленно завершена.

После вывода запроса не забудьте вывести перевод строки и сбросить буфер вывода. В противном случае вы получите вердикт Решение «зависло». Для сброса буфера используйте:

  • fflush(stdout) или cout.flush() в C++;
  • System.out.flush() в Java;
  • flush(output) в Pascal;
  • stdout.flush() в Python;
  • смотрите документацию для других языков.

Взломы

Для взлома используйте следующий формат:

Первая строка содержит целое число \(t\) (\(1 \le t \le 1000\)) — количество наборов входных данных.

Первая строка каждого набора входных данных содержит два целых числа \(n\) и \(m\) (\(3 \le n \le 100\), \(0 \le m \le \frac{n\cdot(n - 1)}{2}\)) — количество вершин и рёбер в графе.

Следующие \(m\) строк должны содержать два числа \(a\) и \(b\) (\(1 \le b < a \le n\)), означающие, что в графе присутствует ребро \(a \rightarrow b\). Граф должен удовлетворять условиям выше.

Сумма \(n\) по всем наборам входных данных не должна превышать \(1000\).

Примечание

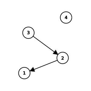
Граф в первом примере:

Граф во втором примере:

Взаимодействие происходит следующим образом:

РешениеЖюриОбъяснение
2Есть \(2\) набора входных данных.
4В первом наборе входных данных загадан граф с \(4\)-мя вершинами.
? 1 2 YESРешение спрашивает, достижима ли вершина \(1\) из вершины \(2\), жюри отвечает YES.
? 2 3 YESРешение спрашивает, достижима ли вершина \(2\) из вершины \(3\), жюри отвечает YES.
? 1 3 YESРешение спрашивает, достижима ли вершина \(1\) из вершины \(3\), жюри отвечает YES.
? 1 4 NOРешение спрашивает, достижима ли вершина \(1\) из вершины \(4\), жюри отвечает NO.
? 2 4 NOРешение спрашивает, достижима ли вершина \(2\) из вершины \(4\), жюри отвечает NO.
? 3 4 NOРешение спрашивает, достижима ли вершина \(3\) из вершины \(4\), жюри отвечает NO.
! 0 0 0 1Решение каким-то образом определило, что такая раскраска подходит, и выводит её. Поскольку ответ правильный, жюри переходит к следующему набору входных данных.
1Во втором наборе входных данных загадан граф с \(5\)-ю вершинами.
! 1 1 0 1 0Решение каким-то образом определило, что такая раскраска подходит, и выводит её. Поскольку ответ верен и наборов входных данных больше нет, жюри и решение завершаются.

Обратите внимание, что пустые строки во входных и выходных данных примера сделаны для наглядности и не встречаются в реальном взаимодействии.


Примеры
Входные данныеВыходные данные
1 2
4

YES

YES

YES

NO

NO

NO

5
? 1 2

? 2 3

? 1 3

? 1 4

? 2 4

? 3 4

! 0 0 0 1

! 1 1 0 1 0

time 3000 ms
memory 256 Mb
Правила оформления программ и список ошибок при автоматической проверке задач

Статистика успешных решений по компиляторам
Комментарий учителя