Олимпиадный тренинг

Задача . E. Контроль случайности


Дано дерево с \(n\) вершинами.

В некоторую вершину \(v \ne 1\) посадят робота. Пусть у вас изначально есть \(p\) монет. Рассмотрим следующий процесс, где в \(i\)-й шаг (начиная с \(i = 1\)):

  • Если \(i\) нечётное, робот передвинется в соседнюю вершину в сторону вершины \(1\);
  • Иначе, \(i\) чётное. Можно либо заплатить одну монету (если остались), после чего робот передвинется в соседнюю вершину в сторону вершины \(1\), либо ничего не платить, после чего робот передвинется в равновероятно выбранную соседнюю вершину.

Процесс останавливается, как только робот попадает в вершину \(1\). Определим \(f(v, p)\) как минимально возможное математическое ожидание количества шагов процесса выше (количество использованных монет минимизировать не надо).

Необходимо ответить на \(q\) запросов, в \(i\)-м из которых надо найти значение \(f(v_i, p_i)\) по модулю\(^{\text{∗}}\) \(998\,244\,353\).

\(^{\text{∗}}\) Формально, пусть \(M = 998\,244\,353\). Можно показать, что ответ может быть представлен в виде несократимой дроби \(\frac{p}{q}\), где \(p\) и \(q\) — целые числа, и \(q \not \equiv 0 \pmod{M}\). Выведите целое число, равное \(p \cdot q^{-1} \bmod M\). Другими словами, выведите такое целое число \(x\), что \(0 \le x < M\) и \(x \cdot q \equiv p \pmod{M}\).

Входные данные

Каждый тест состоит из нескольких наборов входных данных. В первой строке находится одно целое число \(t\) (\(1 \le t \le 10^3\)) — количество наборов входных данных. Далее следует описание наборов входных данных.

Первая строка каждого набора входных данных содержит два целых числа: \(n\) и \(q\) (\(2 \le n \le 2 \cdot 10^3\); \(1 \le q \le 2 \cdot 10^3\)) — количество вершин в дереве и количество запросов.

В следующих \(n - 1\) строках каждого набора входных данных заданы ребра дерева: по одному в строке. В \(i\)-й строке заданы два целых числа \(u_i\) и \(v_i\) (\(1 \le u_i, v_i \le n\); \(u_i \neq v_i\)), обозначающих ребро между вершинами \(u_i\) и \(v_i\).

В следующих \(q\) строках каждого набора входных данных заданы два целых числа: \(v_i\) и \(p_i\) (\(2 \le v_i \le n\); \(0 \le p_i \le n\)).

Гарантируется, что заданные ребра образуют дерево.

Гарантируется, что сумма значений \(n\) по всем наборам входных данных не превосходит \(2 \cdot 10 ^ 3\).

Гарантируется, что сумма значений \(q\) по всем наборам входных данных не превосходит \(2 \cdot 10 ^ 3\).

Выходные данные

Для каждого набора входных данных выведите \(q\) целых чисел: значения \(f(v_i, p_i)\) по модулю \(998\,244\,353\).

Формально, пусть \(M = 998\,244\,353\). Можно показать, что ответ может быть представлен в виде несократимой дроби \(\frac{p}{q}\), где \(p\) и \(q\) — целые числа, и \(q \not \equiv 0 \pmod{M}\). Выведите целое число, равное \(p \cdot q^{-1} \bmod M\). Другими словами, выведите такое целое число \(x\), что \(0 \le x < M\) и \(x \cdot q \equiv p \pmod{M}\).

Примечание

Дерево из первого набора показано ниже:

Для первого запроса значение математического ожидания равно \(1\), так как робот начинает движение с вершины \(2\) и первым ходом попадает в вершину \(1\) и завершает перемещение.

Посчитаем значение математического ожидания для второго запроса (\(x\) это количество шагов в процессе):

  • \(P(x < 2) = 0\), расстояние до вершины \(1\) равно \(2\) и робот не может дойти до него за меньшее количество шагов.
  • \(P(x = 2) = \frac{1}{3}\), так как есть только одна последовательность шагов, приводящая к \(x = 2\). Это \(3 \rightarrow_{1} 2 \rightarrow_{0.33} 1\) с вероятностью \(1 \cdot \frac{1}{3}\).
  • \(P(x \bmod 2 = 1) = 0\), так как робот может достичь вершину \(1\) сделав только чётное количество шагов.
  • \(P(x = 4) = \frac{2}{9}\): возможные пути \(3 \rightarrow_{1} 2 \rightarrow_{0.67} [3, 4] \rightarrow_{1} 2 \rightarrow_{0.33} 1\).
  • \(P(x = 6) = \frac{4}{27}\): возможные пути \(3 \rightarrow_{1} 2 \rightarrow_{0.67} [3, 4] \rightarrow_{1} 2 \rightarrow_{0.67} [3, 4] \rightarrow_{1} 2 \rightarrow_{0.33} 1\).
  • \(P(x = i \cdot 2) = \frac{2^{i - 1}}{3^i}\) в общем случае.

В результате \(f(v, p) = \sum\limits_{i=1}^{\infty}{i \cdot 2 \cdot \frac{2^{i - 1}}{3^i}} = 6\).

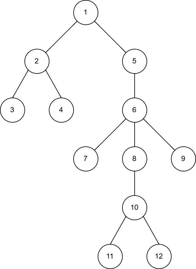
Дерево из второго набора показано ниже:


Примеры
Входные данныеВыходные данные
1 2
4 4
1 2
2 3
2 4
2 0
3 0
4 0
3 1
12 10
1 2
2 3
2 4
1 5
5 6
6 7
6 8
6 9
8 10
10 11
10 12
6 0
9 0
10 0
11 0
3 1
7 1
10 1
12 1
12 2
11 12
1
6
6
2
4
9
8
15
2
3
6
9
5
5

time 2000 ms
memory 256 Mb
Правила оформления программ и список ошибок при автоматической проверке задач

Статистика успешных решений по компиляторам
 Кол-во
С++3
Комментарий учителя