Олимпиадный тренинг

Задача . A. Система уравнений


Задача

Темы: Перебор *800

Фурик очень любит уроки математики, поэтому, в отличие от Рубика, он их не посещает. Но теперь Фурик хочет получить хорошую оценку по математике. Для этого Лариса Ивановна, учительница математики, дала ему новое задание. Фурик сразу же решил эту задачу, а вы сможете?

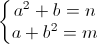
Задана система уравнений:

Нужно посчитать количество пар целых чисел (a, b) (0 ≤ a, b), которые удовлетворяют системе.

Входные данные

В единственной строке заданы два целых числа n, m (1 ≤ n, m ≤ 1000) — параметры системы. Числа в строке разделены пробелом.

Выходные данные

В единственную строку выведите ответ на задачу.

Примечание

В первом примере подходит пара чисел (3, 0). Во втором примере подходит пара чисел (3, 5). В третьем примере не существует подходящей пары.


Примеры
Входные данныеВыходные данные
1 9 3
1
2 14 28
1
3 4 20
0

time 2000 ms
memory 256 Mb
Правила оформления программ и список ошибок при автоматической проверке задач

Статистика успешных решений по компиляторам
 Кол-во
С++ Mingw-w645
Комментарий учителя