Олимпиадный тренинг

Задача . E. Анализ путей в функциональном графе


Задан функциональный граф — такой ориентированный граф, в котором из каждой вершины выходит ровно одна дуга. Вершины графа пронумерованы от 0 до n - 1.

Граф задан массивом f0, f1, ..., fn - 1, где fi — номер вершины, куда ведет единственная дуга из вершины i. Кроме того задан массив весов дуг w0, w1, ..., wn - 1, где wi — вес дуги из i в fi.

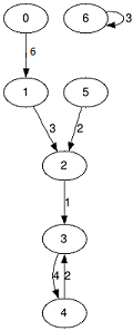
Граф из первого примера.

По заданному числу k (длине пути) найдите для каждой вершины пару чисел: si и mi, где:

  • si — сумма весов всех дуг на пути длины k, который стартует из вершины i;
  • mi — минимальный вес по всем дугам на пути длины k, который стартует из вершины i.

Длиной пути называется количество дуг в этом пути.

Входные данные

В первой строке записана пара целых чисел n, k (1 ≤ n ≤ 105, 1 ≤ k ≤ 1010). Вторая строка содержит последовательность f0, f1, ..., fn - 1 (0 ≤ fi < n), а третья — последовательность w0, w1, ..., wn - 1 (0 ≤ wi ≤ 108).

Выходные данные

Выведите n строк, по два числа si, mi в каждой строке.


Примеры
Входные данныеВыходные данные
1 7 3
1 2 3 4 3 2 6
6 3 1 4 2 2 3
10 1
8 1
7 1
10 2
8 2
7 1
9 3
2 4 4
0 1 2 3
0 1 2 3
0 0
4 1
8 2
12 3
3 5 3
1 2 3 4 0
4 1 2 14 3
7 1
17 1
19 2
21 3
8 1

time 2000 ms
memory 512 Mb
Правила оформления программ и список ошибок при автоматической проверке задач

Статистика успешных решений по компиляторам
 Кол-во
С++5
Комментарий учителя