Олимпиадный тренинг

Задача . A. Коровоконг объединяет нацию


Наконец-то Коровоконг стал правителем мира и теперь может навести в нём порядок. Для начала он хочет, чтобы людям было как можно более удобно путешествовать внутри своих стран.

Представим мир как неориентированный граф из n вершин (городов) и m рёбер (дорог). k из этих вершин являются столицами государств (по одной столице для каждой из k стран).

Любая пара вершин соединена не более чем одним ребром, и никакое ребро не соединяет вершину саму с собой. Более того, для любых двух вершин, являющихся столицами, не существует пути между этими двумя вершинами. Любой граф, удовлетворяющий всем этим условиям, называется стабильным.

Коровоконг хочет добавить в граф как можно больше рёбер, так чтобы он всё ещё оставался стабильным. Выясните, сколько рёбер он может добавить.

Входные данные

В первой строке входных данных записаны три числа n, m и k (1 ≤ n ≤ 1 000, 0 ≤ m ≤ 100 000, 1 ≤ k ≤ n) – количество вершин и рёбер в графе, а также количество вершин, являющихся столицами.

Во второй строке записаны k различных целых чисел c1, c2, ..., ck (1 ≤ ci ≤ n), означающих номера вершин, являющихся столицами.

В каждой из последующих m строк записаны два целых числа ui и vi (1 ≤ ui, vi ≤ n), означающих рёбра неориентированного графа.

Гарантируется, что описанный во входных данных граф является стабильным.

Выходные данные

Выведите одно целое число — максимальное количество рёбер, которое Коровоконг может добавить в имеющийся граф, чтобы он остался стабильным.

Примечание

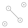
В первом примере граф выглядит следующим образом:

Вершины 1 и 3 являются столицами. Оптимальным решением будет соединить вершину 4 с вершинами 1 и 2. Таким образом, в граф будут добавлены 2 новых ребра. Больше рёбер добавить нельзя, потому что между вершинами 1 и 3 не должно быть пути.

Во втором примере граф выглядит следующим образом:

В него нельзя добавить новые рёбра. Обратите внимание, что нельзя добавлять петли и кратные рёбра.

Примеры
Входные данныеВыходные данные
1 4 1 2
1 3
1 2
2
2 3 3 1
2
1 2
1 3
2 3
0

time 2000 ms
memory 256 Mb
Правила оформления программ и список ошибок при автоматической проверке задач

Статистика успешных решений по компиляторам
 Кол-во
С++ Mingw-w642
Комментарий учителя