Олимпиадный тренинг

Задача . E. Компоненты-циклы


Вам задан неориентированный граф, состоящий из \(n\) вершин и \(m\) ребер. Ваша задача — найти количество компонент связности, которые являются циклами.

Вот несколько определений из теории графов.

Неориентированный граф состоит из двух множеств: множества узлов (называемых вершинами) и множества рёбер. Каждое ребро соединяет пару вершин. Все ребра двунаправленные (то есть если вершина \(a\) соединена с вершиной \(b\), вершина \(b\) тоже соединена с вершиной \(a\)). Ребро не может соединять вершину саму с собой, также не может существовать более одного ребра между парой вершин.

Две вершины \(u\) и \(v\) принадлежат одной компоненте связности тогда и только тогда, когда существует хотя бы один путь по ребрам, соединяющий \(u\) и \(v\).

Компонента связности является циклом тогда и только тогда, когда все ее вершины могут быть переупорядочены следующим образом:

  • первая вершина соединена ребром со второй вершиной,
  • вторая вершина соединена ребром с третьей вершиной,
  • ...
  • последняя вершина соединена ребром с первой вершиной,
  • все описанные выше ребра цикла — различны.

Цикл содержит только вершины и ребра, описанные выше. По определению цикл содержит не менее трех вершин.

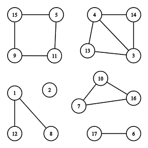
Граф на рисунке содержит \(6\) компонент связности, \(2\) из них являются циклами: \([7, 10, 16]\) и \([5, 11, 9, 15]\).
Входные данные

В первой строке входных данных задано два целых числа \(n\) и \(m\) (\(1 \le n \le 2 \cdot 10^5\), \(0 \le m \le 2 \cdot 10^5\)) — количество вершин и рёбер в графе.

В следующих \(m\) строках заданы рёбра: \(i\)-е ребро задаётся парой вершин \(v_i\), \(u_i\) (\(1 \le v_i, u_i \le n\), \(u_i \ne v_i\)). Гарантируется, что граф не содержит кратных рёбер (то есть для любой пары (\(v_i, u_i\)) не существует других пар (\(v_i, u_i\)) и (\(u_i, v_i\)) среди заданных рёбер).

Выходные данные

Выведите одно целое число — количество компонент связности, которые являются циклами.

Примечание

В первом тестовом примере только компонента \([3, 4, 5]\) является циклом.

Второй пример соответствует рисунку из условия.


Примеры
Входные данныеВыходные данные
1 5 4
1 2
3 4
5 4
3 5
1
2 17 15
1 8
1 12
5 11
11 9
9 15
15 5
4 13
3 13
4 3
10 16
7 10
16 7
14 3
14 4
17 6
2

time 2000 ms
memory 256 Mb
Правила оформления программ и список ошибок при автоматической проверке задач

Статистика успешных решений по компиляторам
 Кол-во
С++5
Комментарий учителя