Дано множество размера \(m\), состоящее из целых неотрицательных чисел от \(0\) до \(2^{n}-1\) включительно. Построим на этих числах неориентированный граф следующим образом: соединим \(x\) и \(y\), если и только если \(x \& y = 0\). Здесь \(\&\) — операция побитового И. Посчитайте количество компонент связности в таком графе.
Выходные данные
Выведите одно целое число — количество компонент связности.
Примечание
Граф из первого примера:

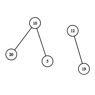
Граф из второго примера:

| № | Входные данные | Выходные данные |
|
1
|
2 3
1 2 3
|
2
|
|
2
|
5 5
5 19 10 20 12
|
2
|