Олимпиадный тренинг

Задача . A2. Прибавление на дереве: революция


Обратите внимание, что это вторая задача из двух похожих задач. Вы можете взламывать эту задачу тогда, когда решите ее. Но предыдущую только тогда, когда решите обе задачи.

Вам дано дерево с \(n\) вершинами. Изначально на каждом ребре написан \(0\). За одну операцию вы можете выбрать любые \(2\) различных листа \(u\), \(v\) и любое целое число \(x\), и прибавить \(x\) ко всем числам записанных на ребрах на простом пути с \(u\) до \(v\). Обратите внимание, что в предыдущей подзадаче \(x\) могло быть любым действительным, теперь оно должно быть целым.

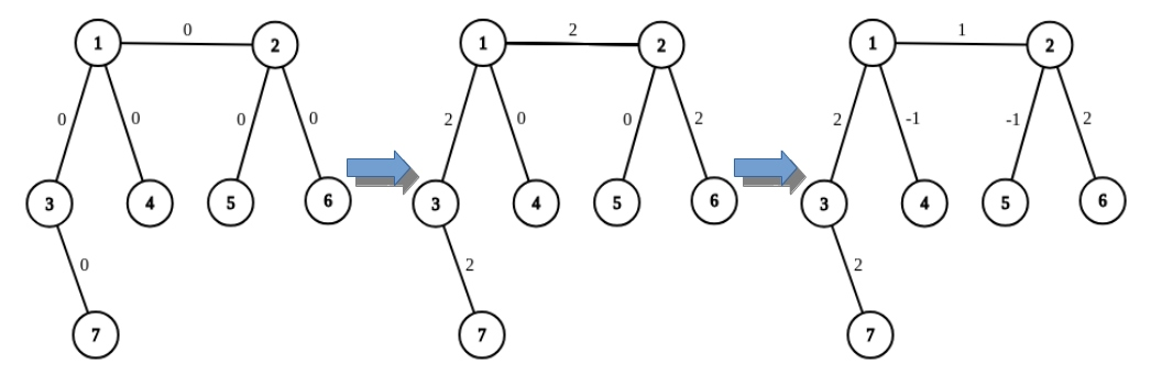
Для примера на изображении ниже показан результат применения двух операций к графу: прибавления \(2\) на пути от \(7\) до \(6\), а потом прибавления \(-1\) на пути от \(4\) до \(5\).

Вам дана некоторая конфигурация из неотрицательных целых, попарно различных, четных чисел, записанных на ребрах. Для заданной конфигурации необходимо сказать, можно ли получить ее с помощью данных операций, и, если это возможно, вывести последовательность операций, которая приводит к заданной конфигурации. Ограничения на операции смотрите в формате вывода.

Лист это вершина степени \(1\). Простой путь это путь, не содержащий ни одну вершину дважды.

Входные данные

Первая строка содержит одно целое число \(n\) (\(2 \le n \le 1000\)) — количество вершин в дереве.

Каждая из следующих \(n-1\) строк содержит три целых числа \(u\), \(v\), \(val\) (\(1 \le u, v \le n\), \(u \neq v\), \(0 \le val \le 10\,000\)), обозначающие что между вершинами \(u\) и \(v\) есть ребро, на котором в заданной конфигурации написано \(val\). Гарантируется, что данные ребра образуют дерево. Гарантируется, что все числа \(val\) различные и четные.

Выходные данные

Если требуемой последовательности операций не существует, в первой строке выведите «NO».

Если же она существует, в первой строке выведите «YES». Во второй строке выведите \(m\) — количество операций, которое вы собираетесь применить (\(0 \le m \le 10^5\)). Заметьте, что минимизировать количество операций не требуется!

В следующих \(m\) строках выведите операции в следующем формате:

\(u, v, x\) (\(1 \le u, v \le n\), \(u \not = v\), \(x\) — целое число, \(-10^9 \le x \le 10^9\)), где \(u, v\) — листья, \(x\) — прибавляемое число.

Гарантируется, что если существует последовательность операций, дающая заданную конфигурацию, то существует и последовательность операций, дающая ее, которая удовлетворяет всем заданными ограничениям.

Примечание

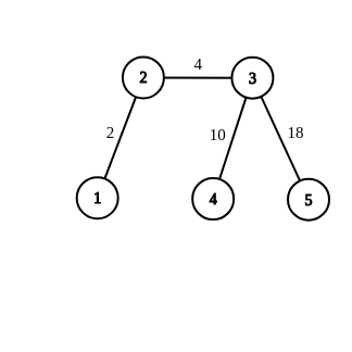
Конфигурация с первого примера нарисована ниже, и ее невозможно достичь.

Последовательность операций с второго примера иллюстрирована ниже.


Примеры
Входные данныеВыходные данные
1 5
1 2 2
2 3 4
3 4 10
3 5 18
NO
2 6
1 2 6
1 3 8
1 4 12
2 5 2
2 6 4
YES
4
3 6 1
4 6 3
3 4 7
4 5 2

time 1000 ms
memory 256 Mb
Правила оформления программ и список ошибок при автоматической проверке задач

Статистика успешных решений по компиляторам
 Кол-во
С++ Mingw-w645
Комментарий учителя