Олимпиадный тренинг

Задача . F1. Марек и паросочетания (упрощенная версия)


Это упрощённая версия задачи. В этой версии, \(n \le 6\).

Марек работает над тестами для новой задачи. Хотите узнать, для какой? Не-а, мы вам не скажем. Однако, мы скажем вам как он генерирует тесты.

Марек выбирает целое число \(n\) и \(n^2\) целых чисел \(p_{ij}\) (\(1 \le i \le n\), \(1 \le j \le n\)). Затем он генерирует случайный двудольный граф на \(2n\) вершин. В этом графе есть \(n\) вершин у левой доли: \(\ell_1, \ell_2, \dots, \ell_n\), и \(n\) вершин у правой доли: \(r_1, r_2, \dots, r_n\). Для каждой пары \(i\) и \(j\), он добавляет в граф ребро между вершинами \(\ell_i\) и \(r_j\) с вероятностью \(p_{ij}\) процентов.

Оказывается, что тест будет сильным, если в этом графе есть совершенное паросочетание. Какова вероятность, что это произойдет?

Можно показать, что ответ можно представить в виде \(\frac{P}{Q}\), где \(P\) и \(Q\) взаимно простые целое число и \(Q \not\equiv 0 \pmod{10^9+7}\). Обозначим за \(Q^{-1}\) целое число, для которого верно \(Q \cdot Q^{-1} \equiv 1 \pmod{10^9+7}\). Выведите значение \(P \cdot Q^{-1}\) по модулю \(10^9+7\).

Входные данные

В первой строке записано одно целое число \(n\) (\(\mathbf{1 \le n \le 6}\)). Следующие \(n\) строк описывают вероятности появления каждого ребра в графе. \(i\)-й из них содержит \(n\) целых чисел \(p_{i1}, p_{i2}, \dots, p_{in}\) (\(0 \le p_{ij} \le 100\)); \(p_{ij}\) описывает вероятность, в процентах, наличия в графе ребра между вершинами \(\ell_i\) и \(r_j\).

Выходные данные

Выведите одно целое число — вероятность, что в двудольном графе есть совершенное паросочетание, записанная как \(P \cdot Q^{-1} \pmod{10^9+7}\) для \(P\), \(Q\) определенных ранее.

Примечание

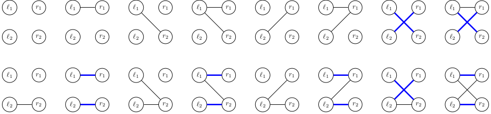
В первом примере, каждый из \(16\) графов равновероятен. Из них у \(7\) есть совершенное паросочетание:

Таким образом, вероятность равна \(\frac{7}{16}\). Так как \(16 \cdot 562\,500\,004 = 1 \pmod{10^9+7}\), ответ на тест равен \(7 \cdot 562\,500\,004 \mod{(10^9+7)} = 937\,500\,007\).


Примеры
Входные данныеВыходные данные
1 2
50 50
50 50
937500007
2 3
3 1 4
1 5 9
2 6 5
351284554

time 7000 ms
memory 256 Mb
Правила оформления программ и список ошибок при автоматической проверке задач

Статистика успешных решений по компиляторам
 Кол-во
С++ Mingw-w641
Комментарий учителя