Олимпиадный тренинг

Задача . F. Особенные ребра


У коалы Коа есть ориентированный граф \(G\) с \(n\) вершинами и \(m\) ребрами. Каждое ребро имеет пропускную способность, связанную с ним. Ровно \(k\) ребер графа, пронумерованные от \(1\) до \(k\), являются особенными, такие ребра изначально имеют пропускную способность, равную \(0\).

Коа задаст вам \(q\) запросов. В каждом запросе она даст вам \(k\) целых чисел \(w_1, w_2, \ldots, w_k\). Это означает, что пропускная способность \(i\)-го особенного ребра становится равной \(w_i\) (а другие пропускные способности остаются неизменными).

Коа задается вопросом: чему равен максимальный поток, из вершины \(1\) в вершину \(n\) после каждого такого запроса?

Помогите ей!

Входные данные

Первая строка содержит четыре целых числа \(n\), \(m\), \(k\), \(q\) (\(2 \le n \le 10^4\), \(1 \le m \le 10^4\), \(1 \le k \le \min(10, m)\), \(1 \le q \le 2 \cdot 10^5\)) — количество вершин, количество ребер, количество специальных ребер и количество запросов.

Каждая из следующих \(m\) строк содержит три целых числа \(u\), \(v\), \(w\) (\(1 \le u, v \le n\); \(0 \le w \le 25\)) — описание ориентированного ребра из вершины \(u\) в вершину \(v\) с пропускной способностью \(w\).

Ребра нумеруются начиная с \(1\) в том же порядке, в котором они указаны во входных данных. Первые \(k\) ребер являются специальными ребрами. Гарантируется, что \(w_i = 0\) для всех \(i\) с \(1 \le i \le k\).

Каждая из следующих \(q\) строк содержит \(k\) целых чисел \(w_1, w_2, \ldots, w_k\) (\(0 \le w_i \le 25\))  — описание запроса. \(w_i\) обозначает пропускную способность \(i\)-го ребра.

Выходные данные

Для \(i\)-го запроса выведите одно целое число \(res_i\) — максимальный поток из вершины \(1\) в вершину \(n\) с учетом специальных весов ребер \(i\)-го запроса.

Примечание

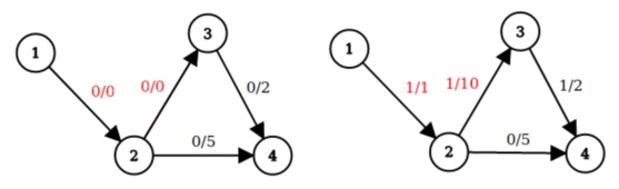
Для второго примера следующие изображения соответствуют первым двум запросам (слева направо соответственно). Для каждого ребра указана пара поток/пропускная способность, обозначающая поток, проталкиваемый через ребро, и пропускную способность ребра. Специальные ребра окрашены в красный цвет.

Как вы можете видеть, в первом запросе максимальный поток от вершины \(1\) к вершине \(4\) равен \(0\), а во втором запросе равен \(1\).


Примеры
Входные данныеВыходные данные
1 2 1 1 3
1 2 0
0
1
2
0
1
2
2 4 4 2 5
1 2 0
2 3 0
2 4 5
3 4 2
0 0
1 10
10 0
7 1
7 2
0
1
5
6
7

time 5000 ms
memory 256 Mb
Правила оформления программ и список ошибок при автоматической проверке задач

Статистика успешных решений по компиляторам
 Кол-во
С++ Mingw-w645
Комментарий учителя