Олимпиадный тренинг

Задача . F. Древесные запросы


Дано дерево, состоящее из \(n\) вершин. Напомним, что дерево — это неориентированный ацикличный граф. Корнем данного дерева является вершина \(1\).

Требуется обработать \(q\) запросов. В каждом запросе задается вершина дерева \(v\) и целое число \(k\).

Для обработки запроса можно удалять вершины из дерева в произвольном порядке, кроме корня и вершины \(v\). Когда вершина удаляется, ее дети становятся детьми ее родителя. Требуется обработать запрос так, чтобы максимизировать значение \(c(v) - m \cdot k\) (где \(c(v)\) — это итоговое количество детей вершины \(v\), а \(m\) — это количество удаленных вершин). Выведите максимальное значение, которое можно получить.

Запросы независимые: изменения, произведенные над деревом при обработке запроса, не затрагивают другие запросы.

Входные данные

В первой строке записано одно число \(n\) (\(1 \le n \le 2 \cdot 10^5\)) — количество вершин в дереве.

Затем следует \(n-1\) строка, в \(i\)-й из них записаны два целых числа \(x_i\) и \(y_i\) (\(1 \le x_i, y_i \le n\); \(x_i \ne y_i\)) — концы \(i\)-го ребра. Данные ребра образуют дерево.

В следующей строке записано одно целое \(q\) (\(1 \le q \le 2 \cdot 10^5\)) — количество запросов.

Затем следуют \(q\) строк, в \(j\)-й из них записаны два целых числа \(v_j\) и \(k_j\) (\(1 \le v_j \le n\); \(0 \le k_j \le 2 \cdot 10^5\)) — параметры \(j\)-го запроса.

Выходные данные

На каждый запрос выведите одно целое число — максимальное значение \(c(v) - m \cdot k\), которое можно получить.

Примечание

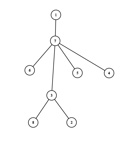
Дерево в первом примере показано на следующем изображении:

Ответы на запросы получаются следующим образом:

  1. \(v=1,k=0\): можно удалить вершины \(7\) и \(3\), так, чтобы у вершины \(1\) стало \(5\) детей (вершины \(2\), \(4\), \(5\), \(6\) и \(8\)), и счет равен \(5 - 2 \cdot 0 = 5\);
  2. \(v=1,k=2\): можно удалить вершину \(7\), так, чтобы у вершины \(1\) стало \(4\) ребенка (вершины \(3\), \(4\), \(5\) и \(6\)), и счет равен \(4 - 1 \cdot 2 = 2\).
  3. \(v=1,k=3\): не надо удалять вершины; тогда у вершины \(1\) станет один ребенок (вершина \(7\)), и счет равен \(1 - 0 \cdot 3 = 1\);
  4. \(v=7,k=1\): можно удалить вершину \(3\), так, чтобы у вершины \(7\) стало \(5\) детей (вершины \(2\), \(4\), \(5\), \(6\) и \(8\)), и счет равен \(5 - 1 \cdot 1 = 4\);
  5. \(v=5,k=0\): что бы вы ни делали, у вершины \(5\) не будет детей, поэтому счет равен \(0\);
  6. \(v=7,k=200000\): не надо удалять вершины; тогда у вершины \(7\) станет \(4\) ребенка (вершины \(3\), \(4\), \(5\) и \(6\)), и счет равен \(4 - 0 \cdot 200000 = 4\).

Примеры
Входные данныеВыходные данные
1 8
6 7
3 2
8 3
5 7
7 4
7 1
7 3
6
1 0
1 2
1 3
7 1
5 0
7 200000
5
2
1
4
0
4

time 6000 ms
memory 512 Mb
Правила оформления программ и список ошибок при автоматической проверке задач

Статистика успешных решений по компиляторам
 Кол-во
С++ Mingw-w645
Комментарий учителя