Олимпиадный тренинг

Задача . D. Взвесьте дерево


Вам дано дерево из \(n\) вершин, пронумерованных от \(1\) до \(n\). Деревом называется связный неориентированный граф без циклов.

Для всех \(i=1,2, \ldots, n\) обозначим за \(w_i\) вес \(i\)-й вершины. Вершина называется хорошей, если ее вес равен сумме весов всех ее соседей.

Изначально веса в вершинах не определены. Выберете для каждой вершины положительный целочисленный вес так, чтобы количество хороших вершин в дереве было максимально возможным. Если есть несколько способов сделать это, вам нужно найти такой, который минимизирует сумму весов всех вершин в дереве.

Входные данные

Первая строка содержит одно целое число \(n\) (\(2\le n\le 2\cdot 10^5\)) — количество вершин в дереве.

Далее следует \(n−1\) строка. Каждая из этих строк содержит два целых числа \(u\) и \(v\) (\(1\le u,v\le n\)), обозначающие ребро между вершинами \(u\) и \(v\). Гарантируется, что ребра образуют дерево.

Выходные данные

В первой строке выведите два целых числа: максимальное количество хороших вершин и минимально возможный суммарный вес вершин при этом.

Во второй строке выведите \(n\) целых чисел \(w_1, w_2, \ldots, w_n\) (\(1\le w_i\le 10^9\)) — веса вершин. Можно показать, что существует оптимальное решение, удовлетворяющее данным ограничениям.

Если существует несколько решений, выведите любое из них.

Примечание

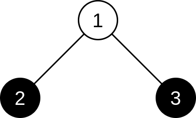
Ниже изображено дерево из первого примера:

В этом случае, если вы выберете для каждый вершины вес \(1\), то хорошими вершинами будут вершины (покрашены черным) \(1\), \(3\) и \(4\). Невозможно выбрать такие веса, чтобы все вершины были хорошими. Минимально возможная сумма весов равна \(1+1+1+1=4\), меньшая сумма недостижима, так как вершины обязаны иметь положительный вес.

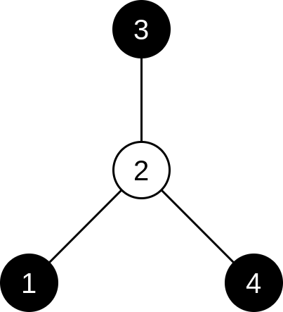
Ниже изображено дерево из второго примера:

В этом случае, если вы выберете для каждой вершины вес \(1\), то хорошими вершинами будут вершины (покрашены черным) \(2\) и \(3\). Можно показать, что это оптимальное решение.

Примеры
Входные данныеВыходные данные
1 4
1 2
2 3
2 4
3 4
1 1 1 1
2 3
1 2
1 3
2 3
1 1 1
3 2
1 2
2 2
1 1
4 9
3 4
7 6
2 1
8 3
5 6
1 8
8 6
9 6
6 11
1 1 1 1 1 1 1 3 1

time 2000 ms
memory 256 Mb
Правила оформления программ и список ошибок при автоматической проверке задач

Статистика успешных решений по компиляторам
 Кол-во
С++ Mingw-w645
Комментарий учителя