Олимпиадный тренинг

Задача . F. Поток минимальной стоимости?


Вам даны два массива \(a\) и \(b\) целых чисел (\(b_i \neq 0\) и \(|b_i| \leq 10^9\)). Массив \(a\) отсортирован в неубывающем порядке.

Стоимость подмассива \(a[l:r]\) определяется следующим образом:

  • Если \( \sum\limits_{j = l}^{r} b_j \neq 0\), то стоимость не определена.

  • Иначе:

    • Постройте двудольный поточный граф с \(r-l+1\) вершинами, помеченными от \(l\) до \(r\), причем все вершины с \(b_i \lt 0\) расположены слева, а с \(b_i \gt 0\)  — справа. Для каждых \(i, j\) таких, что \(l \le i, j \le r\), \(b_i<0\) и \(b_j>0\), нарисуйте ребро от \(i\) к \(j\) с бесконечной пропускной способностью и стоимостью единицы потока равной \(|a_i-a_j|\).
    • Добавьте еще две вершины: источник \(S\) и сток \(T\).
    • Для каждого \(i\) такого, что \(l \le i \le r\) и \(b_i<0\), добавьте ребро от \(S\) к \(i\) со стоимостью \(0\) и пропускной способностью \(|b_i|\).
    • Для каждого \(i\) такого, что \(l \le i \le r\) и \(b_i>0\), добавьте ребро от \(i\) к \(T\) со стоимостью \(0\) и пропускной способностью \(|b_i|\).
    • Стоимость подмассива определяется как минимальная стоимость максимального потока из \(S\) в \(T\).

Вам даны \(q\) запросов в виде двух целых чисел \(l\) и \(r\). Вы должны вычислить стоимость подмассива \(a[l:r]\) для каждого запроса, по модулю \(10^9 + 7\).

Если вы не знаете, что означает минимальная стоимость максимального потока, обратитесь сюда.

Входные данные

Первая строка ввода содержит два целых числа \(n\) и \(q\) \((2 \leq n \leq 2\cdot 10^5, 1 \leq q \leq 2\cdot10^5)\)  — длину массивов \(a\), \(b\) и количество запросов.

Следующая строка содержит \(n\) целых чисел \(a_1,a_2 \ldots a_n\) (\(0 \leq a_1 \le a_2 \ldots \le a_n \leq 10^9)\)  — массив \(a\). Гарантируется, что \(a\) отсортирован в неубывающем порядке.

Следующая строка содержит \(n\) целых чисел \(b_1,b_2 \ldots b_n\) \((-10^9\leq b_i \leq 10^9, b_i \neq 0)\)  — массив \(b\).

В \(i\)-й из следующих \(q\) строк содержится два целых числа \(l_i,r_i\) \((1\leq l_i \leq r_i \leq n)\). Гарантируется, что \( \sum\limits_{j = l_i}^{r_i} b_j = 0\).

Выходные данные

Для каждого запроса \(l_i\), \(r_i\)  — выведите стоимость подмассива \(a[l_i:r_i]\) по модулю \(10^9 + 7\).

Примечание

В первом запросе, максимально возможный поток составляет \(1\), т.е. одна единица из источника в \(2\), затем одна единица из \(2\) в \(3\), затем одна единица из \(3\) в сток. Стоимость потока равна \(0 \cdot 1 + |2 - 4| \cdot 1 + 0 \cdot 1 = 2\).

Во втором запросе, максимально возможный поток снова составляет \(1\), т.е. от источника к \(7\), от \(7\) к \(6\) и от \(6\) к стоку со стоимостью \(0 \cdot |10 - 10| \cdot 1 + 0 \cdot 1 = 0\).

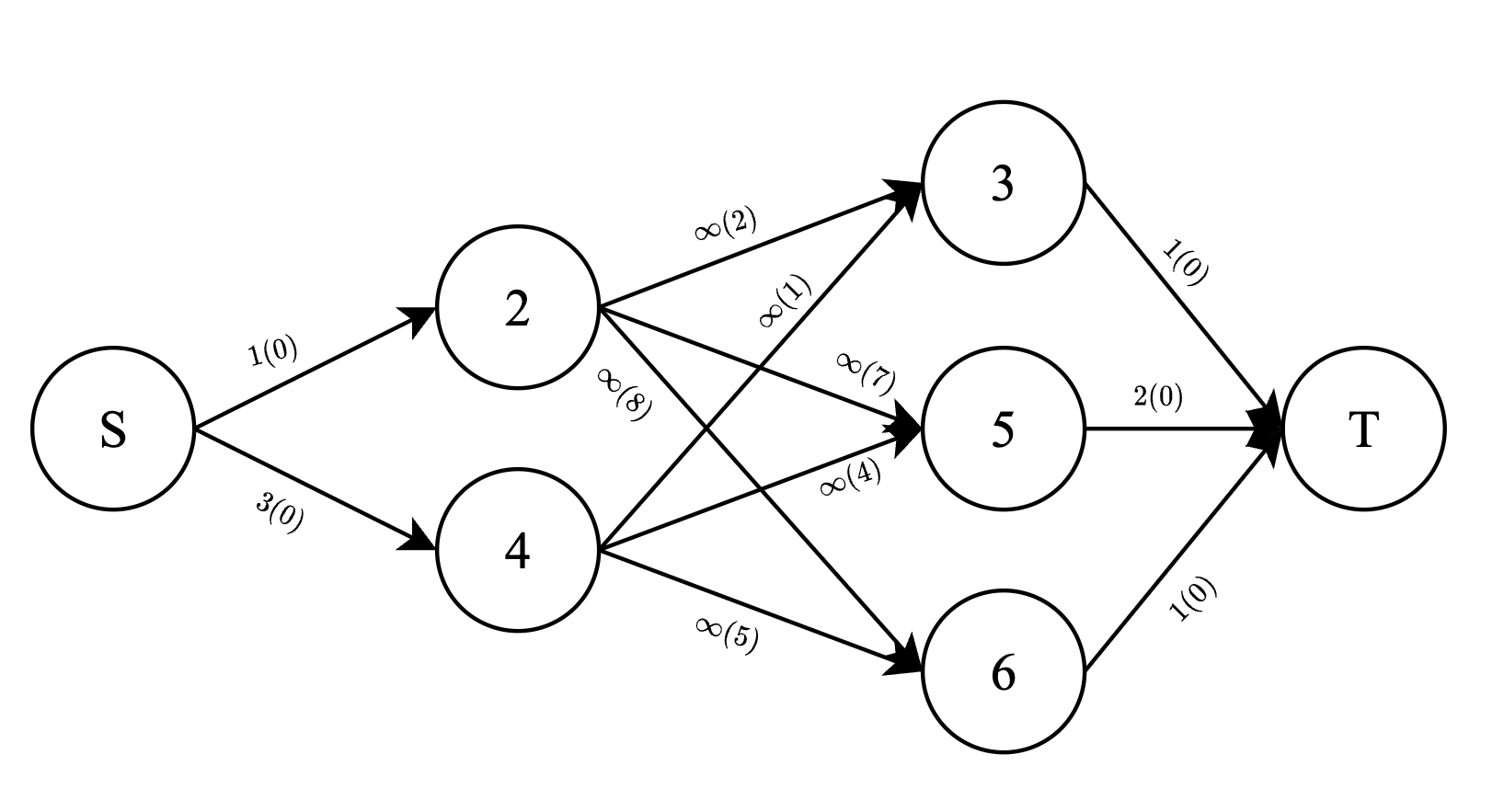
В третьем запросе, граф показан слева с пропускной способностью, указанной вне скобок, и стоимостью, указанной в скобках. Изображение справа показывает поток через каждое ребро в оптимальной конфигурации.

Максимальный поток составляет \(3\) при стоимости \(0 \cdot 3 + 1 \cdot 1 + 4 \cdot 2 + 0 \cdot 1 + 0 \cdot 2 = 9\).

В четвертом запросе, сеть потока выглядит следующим образом:

Минимальная стоимость максимального потока достигается следующим образом:

Максимальный поток в этой сети равен 4, а минимальная стоимость такого потока равна 15.


Примеры
Входные данныеВыходные данные
1 8 4
1 2 4 5 9 10 10 13
6 -1 1 -3 2 1 -1 1
2 3
6 7
3 5
2 6
2
0
9
15

time 3000 ms
memory 256 Mb
Правила оформления программ и список ошибок при автоматической проверке задач

Статистика успешных решений по компиляторам
 Кол-во
С++ Mingw-w645
Комментарий учителя