Олимпиадный тренинг

Задача . C. Правильная скобочная последовательность Jatayu


Прошлым летом Feluda подарил Lalmohan-Babu правильную скобочную последовательность \(s\) длины \(2 n\).

Topshe скучал во время летних каникул, и поэтому решил нарисовать неориентированный граф из \(2 n\) вершин, используя правильную скобочную последовательность \(s\). Для каждых двух различных вершин \(i\) и \(j\) (\(1 \le i < j \le 2 n\)) Topshe рисует ребро между этими двумя вершинами тогда и только тогда, когда подотрезок \(s[i \ldots j]\) образует правильную скобочную последовательность.

Определите количество компонент связности в графе Topshe.

Смотрите определения подчёркнутых терминов в Примечании.

Входные данные

Каждый тест состоит из нескольких наборов входных данных. Первая строка содержит единственное целое число \(t\) (\(1 \le t \le 10^5\)) — количество наборов входных данных. Далее следует описание наборов входных данных.

Первая строка каждого набора входных данных содержит единственное целое число \(n\) (\(1 \le n \le 10^5\)) — количество открывающих скобок в строке \(s\).

Вторая строка каждого набора входных данных содержит строку \(s\) длины \(2 n\) — правильная скобочная последовательность, состоящая из \(n\) открывающих скобок «(» и \(n\) закрывающих скобок «)».

Гарантируется, что сумма \(n\) по всем наборам входных данных не превосходит \(10^5\).

Выходные данные

Для каждого набора входных данных выведите единственное целое число — количество компонент связности в графе Topshe.

Примечание

Объяснение примера:

В первом наборе входных данных, граф, построенный из скобочной последовательности (), является просто графом, содержащим вершины \(1\) и \(2\), соединёнными единственным ребром.

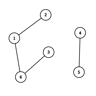
Во втором наборе входных данных, граф, построенный из скобочной последовательности ()(()) будет следующим (содержит две компоненты связности):

Определения подчёркнутых терминов:

  • Последовательность скобок является правильной, если её можно превратить в корректное математическое выражение путём добавления символов \(+\) и \(1\). Например, последовательности (())(), () и (()(())) являются правильными, а )(, (() и (()))( не являются.
  • Подотрезок \(s[l \ldots r]\) обозначает последовательность \([s_l, s_{l + 1}, \ldots, s_r]\).
  • Компонента связности является множеством вершин \(X\) таким, что для каждых двух вершин из этого множества существует хотя бы один путь в графе, соединяющий эти вершины, но добавление любой другой вершины в \(X\) нарушает это правило.

Примеры
Входные данныеВыходные данные
1 4
1
()
3
()(())
3
((()))
4
(())(())
1
2
3
3

time 2000 ms
memory 256 Mb
Правила оформления программ и список ошибок при автоматической проверке задач

Статистика успешных решений по компиляторам
 Кол-во
С++ Mingw-w645
Комментарий учителя