Олимпиадный тренинг

Задача . D. Хоссам и дерево (под-)палиндромов


У Хоссама есть невзвешенное дерево \(G\), в вершинах которого записаны буквы.

Через \(s(v, \, u)\) Хоссам обозначает строку, которая получается при написании всех букв на единственном простом пути из вершины \(v\) в вершину \(u\) в дереве \(G\).

Строка \(a\) является подпоследовательностью строки \(s\), если \(a\) может быть получена из \(s\) путем удаления нескольких символов (возможно, ни одного). Например, «dores», «cf» и «for» являются подпоследовательностями «codeforces», а «decor» и «fork» не являются.

Палиндромом называется строка, читающаяся одинаково слева направо и справа налево. Например, «abacaba» — палиндром, а «abac» — нет.

Под-палиндромом строки \(s\) Хоссам называет подпоследовательность \(s\), являющуюся палиндромом. Например, «k», «abba» и «abhba» являются под-палиндромом строки «abhbka», а «abka» и «cat» — нет.

Максимальным под-палиндромом строки \(s\) Хоссам называет под-палиндром \(s\), имеющий максимальную длину среди всех под-палиндромов \(s\). Например, у строки «abhbka» есть только один максимальный под-палиндром — «abhba». Но может быть и так, что у строки несколько максимальных под-палиндромов: у строки «abcd» целых \(4\) максимальных под-палиндрома.

Хоссам просит вас найти длину самого длинного максимального под-палиндрома среди всех \(s(v, \, u)\) в заданном дереве \(G\).

Еще раз обращаем Ваше внимание на то, что под-палиндром — это подпоследовательность, а не подстрока.

Входные данные

В первой строке входного файла задано одно целое число \(t\) (\(1 \le t \le 200\)) — количество наборов входных данных.

В первой строке каждого набора входных данных задано одно целое число \(n\) (\(1 \le n \le 2 \cdot 10^3\)) — количество вершин в дереве.

Во второй строке задана строка \(s\) длины \(n\), \(i\)-й символ которой задает букву, которая записана в вершине дерева с номером \(i\). Гарантируется, что все символы этой строке — маленькие буквы латинского алфавита.

Далее идут \(n - 1\) строк, описывающие ребра в дереве. Каждое ребро задаётся двумя целыми числами \(v\) и \(u\) (\(1 \le v, \, u \le n\), \(v \neq u\)). Эти два числа означают, что в дереве есть ребро \((v, \, u)\). Гарантируется, что заданные ребра образуют дерево.

Гарантируется, что сумма по всем \(n\) не превышает \(2 \cdot 10^3\).

Выходные данные

Для каждого набора входных данных выведите одно число — длину самого длинного максимального под-палиндрома среди всех \(s(v, \, u)\).

Примечание

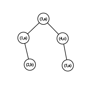
В первом примере искомым подпалиндромом может быть «aaa», символы которого расположены в вершинах \(1, \, 3, \, 5\) или «aca», символы которого расположены в вершинах \(1, \, 4, \, 5\).

Дерево из первого примера.

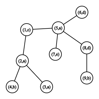
Во втором примере единственным искомым палиндромом является «bacab», символы которого расположены в вершинах \(4, \, 2, \, 1, \, 5, \, 9\).

Дерево из второго примера.

Примеры
Входные данныеВыходные данные
1 2
5
abaca
1 2
1 3
3 4
4 5
9
caabadedb
1 2
2 3
2 4
1 5
5 6
5 7
5 8
8 9
3
5

time 1000 ms
memory 256 Mb
Правила оформления программ и список ошибок при автоматической проверке задач

Статистика успешных решений по компиляторам
 Кол-во
С++ Mingw-w645
Комментарий учителя